(3(2n+1)x2 - 2(4n+5)x + 5n+9) < (n+2)(5x2 -6x+5)
6nx2+3x2 - 8nx-10x + 5x+9 < 5nx2-6nx+5n+10x2-12x+10
6nx2 -5nx2+3x2 -10x2- 8nx+6nx-10x + 5x+12x-5n+9-10 < 0
nx2-7x2- 2nx+7x-5n-1 < 0
(n-7)x2 + (7-2n)x + (-5n-1) < 0
Tienes que solucionar esta ecuación de segundo grado x1,2= (n-7)x2 + (7-2n)x + (-5n-1) = 0 y estudiar los intervalos negativos determinados por los x1 y x2 obtenidos y de ahí los puntos o intervalos de valor que puede tomar n en la ecuación original.
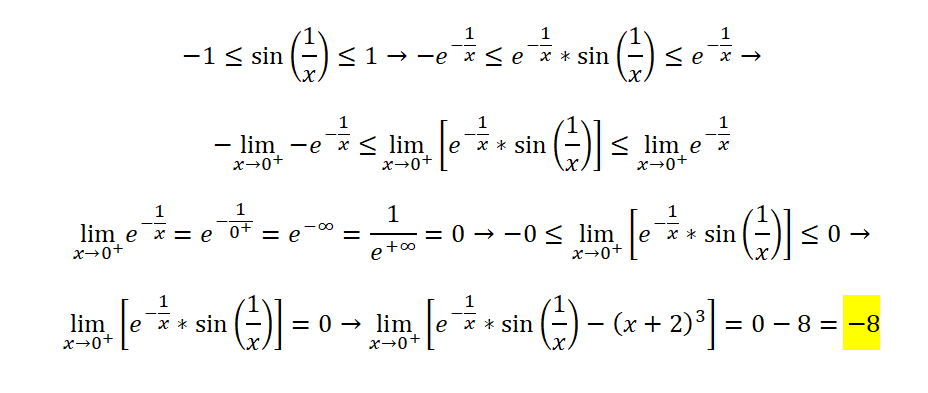
lim(x→0+) (e-1/xsen(1/x) - (x+2)3)=
lim(x→0+) (e-1/xsen(1/x)) - lim(x→0+) ((x+2)3 )=
e-1/(0+)sen(1/0+)) - (0++2)3 =
e-infsen∞ - 8=
1/(e^inf)*(sen∞) - 8=
0*(sen∞) - 8=
sabemos que ∀x( -1 ≤ senx ≤ 1) ⇔ -1 ≤ sen∞ ≤ 1, y que 0 multiplicado por un número situado en [-1,1] es CERO, entonces:
0 - 8=
obtenemos la solución -8
¿Podrías ayudarme a resolver este problema de optimización?
Hallar las dimensiones del rectángulo de área máxima que se puede inscribir en una circunferencia de 3 cm de radio. Gracias!
Cambia el dato de 12 cm por 3 cm en el ejercicio 8 de este enlace:
http://calculo.cc/temas/temas_bachillerato/primero_ciencias_sociales/funciones_derivadas_apli/problemas/p_optimizacion_2.html
hay alguna manera facil de calcular cuanto miden sin hacer multiples operaciones? gracias
En un triángulo los lados miden 2, 3 y 4 cm. En un triángulo semejante
el lado menor mide 5 cm ¿Cuánto miden los otros lados?
Hola Unicoos,
Tengo una duda, se que los extremos absolutos se calculan en intervalos cerrados. Y como veis lo he hecho. Pero en intervalos abiertos no se puede verdad? Cuál es la justificación de que solo tengan que ser cerrados? Gracias

Imagina una recta del tipo y=mx +a que solo existe en el intervalo [0,1]. No es muy difícil imaginar que 1 será máximo absoluto y el 0 mínimo absoluto. Sin embargo, si el intervalo es abierto, esos puntos NO pertenecen a la función, por lo que es imposible que sean extremos de ningún tipo.
Hola!! ¿Alguien sabe si L'Hôpital sirve para cualquier tipo de indeterminación?
Gracias por adelantado
Si tienes alguna de estas indeterminaciones ∞-∞ , 0*∞, 1^∞ , ∞0 , 00 y las conviertes en ∞/∞ y 0÷0 puedes utilizar L´Hopital :
http://www.vadenumeros.es/segundo/limites-regla-de-lhopital.htm
Evidentemente si las tienes en forma ∞/∞ o 0÷0 puedes emplear L´Hopital directamente.
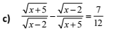
√(x+5)/√(x-2) - √(x-2)/√(x+5) = 7/12
(√(x+5)√(x+5)*12)/(√(x+5)√(x-2)*12) - (√(x-2)*√(x-2)*12)/(√(x+5)√(x-2)*12) = (7*√(x+5)√(x-2))/(√(x+5)√(x-2)*12)
(√(x+5)√(x+5)*12) - (√(x-2)*√(x-2)*12)= (7*√(x+5)√(x-2))
(12*(x+5)) - (12*(x-2))= 7*√(x+5)√(x-2)
12x+60-12x+24= 7*√(x+5)√(x-2)
84=7*√(x+5)√(x-2)
12= √(x+5)√(x-2)
(12)2= (√(x+5)√(x-2))2
144= (x+5)(x-2)
144= x2-2x+5x-10
x2+3x-154=0
Resuelves con la fórmula para ecuaciones de segundo grado y obtienes:
x1=11
x2= -14
Si compruebas las posibles soluciones en la ecuación original observas que x2 = -14 hace que sean raíces cuadradas de números negativos, y lo descartamos
El x=11 verifica la igualdad de la ecuación original y por lo tanto es la solución buscada.
alquien me podría ayudar a resolver este ejercicio
La duración de ciertos artefactos eléctricos se distribuye exponencialmente de tal forma que el 30,12% dura más de 600 hs. ¿Cuál es la probabilidad de que un artefacto dure más de 700 hs.?
Gracias

¡Hola! Nos encantaría ayudarte, pero no solemos responder dudas universitarias que no tengan que ver específicamente con los vídeos que David Calle ha grabado como excepción. O de otras asignaturas que no sean Matemáticas, Física y Química. Lo sentimos de corazón… Esperamos que lo entiendas.
Ojalá algún unicoo universitario se anime a ayudarte (de hecho, lo ideal es que todos los universitarios intentarais ayudaros los unos a los otros).

Puedes definir la variable aleatoria continua:
X: "cantidad de horas que funciona un artefacto elegido al azar",
para lq que puedes plantear la función de densidad de probabilidad:
f(x) = C*e-kx, con x ≥ 0, k > 0.
Luego, plantea la condición que cumplen las fjunciones de densidad de probabilidad (observa que la función toma valores positivos):
0∫∞ f(x)*dx = 1, sustituyes la expresión de la función, y queda:
0∫∞ C*e-kx*dx = 1, resuelves la integral impropia (te dejo la tarea), y queda:
C*(1/k) = 1, multiplicas en ambos miembros por k, y queda:
C = k, luego sustituyes en la expresión de la función, y queda:
f(x) = k*e-kx, con x ≥ 0, k > 0.
Luego, tienes en tu enunciado:
p(X > 600) = 0,3012, sustituyes en el primer miembro, y queda:
600∫∞ k*e-kx*dx = 0,3012, resuelves la integral impropia (te dejo la tarea), y queda:
e-600k = 0,3012, compones en ambos miembros con la función inversa del logaritmo natural, y queda:
-600k = ln(0,3012), haces pasaje de factor como divisor, y queda:
k = -ln(0,3012)/600 = 0,001999 ≅ 0,002, luego sustituyes en la expresión de la función, y queda:
f(x) = 0,002*e-0,002x, con x ≥ 0, k > 0.
Luego, plantea:
p(X > 700) = 700∫∞ 0,002*e-0,002x*dx = resuelves = e-0,002*700 = e-1,4 ≅ 0,247.
Espero haberte ayudado.