Hola, me ayudan con este ejercicio: Se quiere dividir el número 133000 en tres partes, de manera que la primera de ellas sea 5/6 de la segunda, y la tercera sea 1/3 de la segunda. Muchas gracias!

Puedes llamar x, y, z a las partes.
Luego, tienes:
x + y + z = 133000
x = (5/6)y
z = (1/3)y.
Luego, sustituyes las últimas dos expresiones en la primera ecuación, y queda:
(5/6)y + y + (1/3)y = 133000, multiplicas por 6 en todos los términos de la ecuación, y queda:
5y + 6y + 2y = 798000, reduces términos semejantes, y queda:
13y = 798000, haces pasaje de factor como divisor, y queda:
y = 798000/13,
luego, vuelves a las dos últimas ecuaciones del sistema, y queda:
x = (5/6)(798000/13) = 665000/13,
z = (1/3)(798000/13) = 266000/13.
Espero haberte ayudado.

¡Hola! Nos encantaría ayudarte, pero no solemos responder dudas universitarias que no tengan que ver específicamente con los vídeos que David Calle ha grabado como excepción. O de otras asignaturas que no sean Matemáticas, Física y Química. Lo sentimos de corazón… Esperamos que lo entiendas.
Ojalá algún unicoo universitario se anime a ayudarte (de hecho, lo ideal es que todos los universitarios intentarais ayudaros los unos a los otros).
sea x(t) es la "posicion" de la sombra, y la funcion "h(t)=4.9t²" es la funcion altura de la pelota en funcion del tiempo, la cual ya te la dan
En un instante "t" (donde esta la pelota negra, encima de la hipotenusa del triangulo rectangulo), podemos relacionar todas las variables por semejanza de triangulos:
15/x(t) = h(t) / (x(t) - 9)
teniendo en cuenta que h(t) te la dan, lo unico que resta es despejar x(t), derivar y reemplazar
Hola tengo unas pregunta conceptuales sobre sistema generadores y combinaciones lineales
si queremos ver que un vector es combinacion linela de otros, al hacer el sistema de ecuaciones me da que es Compatible indeterminado con n grados de libertad podemos considerar que es CL de los otros vectores? o debe ser unico el valor de los coef que multiplica a esos vectores?
la otra pregunta:
un sistema para que sea generador, debe ser que los elementos sean COMBINACION LINEAL DE FORMA UNICA? o basta que sea compatible indeterminado.???
gracias
El siguiente ejercicio ya se encuentra resuelto y bien explicado ,mi duda sería en la parte que sombreo con rojo, porque se usa la altura h=10 en vez de usar la altura total 20![]()
![]()

¡Hola! Nos encantaría ayudarte, pero no solemos responder dudas universitarias que no tengan que ver específicamente con los vídeos que David Calle ha grabado como excepción. O de otras asignaturas que no sean Matemáticas, Física y Química. Lo sentimos de corazón… Esperamos que lo entiendas.
Ojalá algún unicoo universitario se anime a ayudarte (de hecho, lo ideal es que todos los universitarios intentarais ayudaros los unos a los otros).
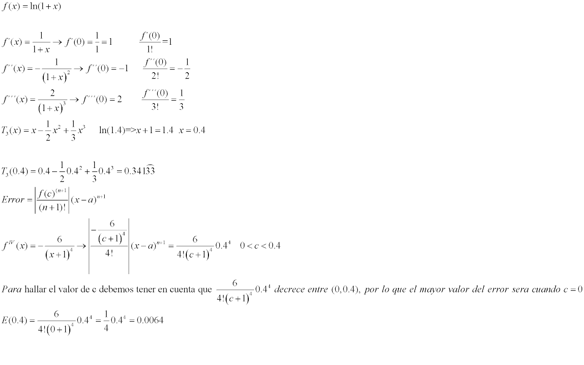
Halla el polinomio de Taylor de grado 3 en torno a cero de la funci ́on f(x) = ln(1 + x). Estima el error
obtenido al aproximar con dicho polinomio ln(1.4).

Tienes la expresión de la función, y luego plantea las expresiones de sus cuatro primeras derivadas:
f(0)(x) = ln(1+x), que al evaluar en el centro de desarrollo queda: f(0)(0) = 0;
f(1)(x) = 1/(1+x) = (1+x)-1, que al evaluar en el centro de desarrollo queda: f(1)(0) = 1;
f(2)(x) = -(1+x)-2, que al evaluar en el centro de desarrollo queda: f(2)(0) = -1;
f(3)(x) = 2(1+x)-3, que al evaluar en el centro de desarrollo queda: f(3)(0) = 2;
f(4)(x) = -6(1+x)-4, que al evaluar en un punto genérico z queda: f(4)(z) = -6(1+z)-4 = -6/(1+z)4.
Luego, plantea la expresión del Polinomio de Taylor de grado 3:
T3(x) = 0 + 1(x-0) - (1/2!)(x-0)2 + (2/3!)(x-0)3= x - (1/2)x2 + (1/3)x3.
Luego, plantea la expresión del error:
E3(x) = (-6/(1+z)4)(1/4!)(x-0)4 = ( -6 / 4!(1+z)4 )x4= ( -1/ 4(1+z)4 )x4, con z comprendido entre 0 y x.
Luego, para acotar el error, plantea la expresión de su valor absoluto:
|E3(x)| = |( -1 / 4(1+z)4 )x4| = ( 1 / 4(1+z)4 )x4, con z comprendido entre 0 y x.
Luego, vuelves a tu enunciado, y comparas expresiones:
f(1,4) = ln(1,4), reemplazas en el primer miembro, y queda:
ln(1+x) = ln(1,4), compones en ambos miembros con la función inversa del logaritmo natural, y queda:
1 + x = 1,4, haces pasaje de término, y queda:
x = 0,4, que es el punto de cálculo.
Luego, planteas la estimación del valor de la función:
ln(1,4) = f(0,4) ≅ T3(0,4) = 0,4 - (1/2)(0,4)2 + (1/3)(0,4)3 = 0,4 - 0,08 + (1/3)(0,064) ≅ 0,341333333.
Luego, plantea la estimación del error:
|E3(0,4)| = ( 1 / 4(1+z)4 )(0,4)4 = 0,0064/(1+z)4, con 0 ≤ z ≤ 0,4;
luego, observa que el denominador de la expresión toma su mínimo valor para z = 0, y con él se hace máxima la expresión de la cota de error, por lo tanto tienes:
|E3(0,4)| ≤ 0,0064/(1+0)4 = 0,0064 = E*, que es la cota de error cometido al aproximar el valor de la función con el Polinomio de Taylor que hemos empleado.
A fin de verificar, empleamos la calculadora para evaluar:
|ln(1,4) - T3(0,4)| ≅ |0,336472237 - 0,341333333| = |-0,004861096| = 0,004861096 < 0,0064 = E*.
Espero haberte ayudado.