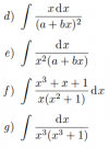
¿Se sigue el mismo método para resolver cambios de variable e integración por partes en integrales indefinidas que en integrales definidas?

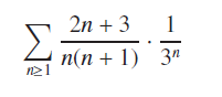
Plantea la descomposición del primer factor del término general como sumas parciales:
(2n+3) / n(n+1) = a/n + b/(n+1) = ( a(n+1)+bn ) / n(n+1),
luego comparas numeradores (observa que los denominadores son iguales), y tienes la ecuación:
a(n+1) + bn = 2n+3, evalúas para dos valores arbitrarios, por ejemplo n = 0 y n = 1, y queda el sistema de ecuaciones:
a = 3,
2a + b = 5, reemplazas el valor remarcado y queda: 6 + b = 5, haces pasaje de término, y queda: b = -1;
luego, tienes para el primer factor del término general:
(2n+3) / n(n+1) = 3/n - 1/(n+1).
Luego, el término general de la sumatoria queda:
( (2n+3) / n(n+1) )*(1/3n) = ( 3/n - 1/(n+1) )*(1/3n) = (3/n)(1/3n) - 1 / (n+1)3n = 1 / n3n-1 - 1 / (n+1)3n.
Luego, tienes la sumatoria:
S = ∑(n=1,∞) ( ( (2n+3) / n(n+1) )*(1/3n) ), sustituyes la última expresión remarcada y queda:
S = ∑(n=1,∞) ( 1 / n3n-1 - 1 / (n+1)3n ),
luego, plantea los primeros elementos de la sucesión de sumas parciales:
S1 = 1/1 - 1/6 = 1 - 1/6 = 1 - 1/(2*31) ,
S2 = (1 - 1/6) + (1/6 - 1/27) = 1 - 1/6 + 1/6 - 1/27 = 1 - 1/27 = 1 - 1/(3*32),
S3 = (1 - 1/27) + (1/27 - 1/108) = 1 - 1/27 + 1/27 - 1/108 = 1 - 1/108 = 1 - 1/(4*33),
S4 = (1 - 1/108) + (1/108 - 1/405) = 1 -1/108 + 1/108 - 1/405 = 1 - 1/405 = 1 - 1/(5*34),
luego, puedes inferir la expresión del elemento general de la sucesión de sumas parciales:
Sn = 1 - 1/( (n+1)*3n ).
Luego, repasas todos os pasos realizados hasta ahora:
S = ∑(n=1,∞) ( ( (2n+3) / n(n+1) )*(1/3n) ) = ∑(n=1,∞) ( 1 / n3n-1 - 1 / (n+1)3n ) =
aquí planteas que el valor de la sumatoria es igual al límite del elemento general de la sucesión de sumas parciales:
= Lím(n→∞) Sn = sustituyes:
= Lím(n→∞) ( 1 - 1/( (n+1)*3n ) ) = reuelves:
= 1 - 0 = 1.
Espero haberte ayudado.
Hola buenas, nesecito calcular los puntos de inflexión de la siguiente función, OS adjunto en fotos todo lo que he sido capaz de hacer, pero creo q esta mal porque me salen muchos puntos de inflexión. La funcion es la que se encuentra subrayada.![]()

Tienes la expresión de la función, cuyo dominio es: D = [0,2π], que es continua en todo su dominio:
f(x) = (senx + cosx)*ex,
luego, la expresión de la función derivada primera queda:
f ' (x) = (cosx - senx)*ex + (senx + cosx)*ex = 2cosx*ex,
y la expresión de la función derivada segunda queda:
f ' ' (x) = -2senx*ex + 2cosx*ex = -2(senx - cosx)*ex;
y observa que la función derivada primera y la función derivada segunda están definidas en todo el dominio de la función.
Luego, plantea la condición de punto crítico (posible máximo o posible mínimo):
f ' (x) = 0, sustituyes, y queda:
2cosx*ex = 0, haces pasajes de factores como divisores (observa que el factor ex es estrictamente positivo), y queda:
cosx = 0, luego compones en ambos miembros con la función inversa del coseno, y tienes dos opciones:
a)
x = π/2, que al evaluar en la expresión de la función derivada segunda queda: f ' ' (π/2) -2(1 - 0)*eπ/2 = -2*eπ/2 < 0,
por lo que tienes que la función es cóncava hacia abajo en este punto crítico, que corresponde a un máximo de la función;
b)
x = 3π/2, que al evaluar en la expresión de la función derivada segunda queda: f ' ' (3π/2) = -2(-1 - 0)*e3π/2 = 2*e3π/2> 0,
por lo que tienes que la función es cóncava hacia arriba en este punto crítico, que corresponde a un mínimo de la función.
Luego, plantea la condición de posible punto de inflexión:
f ' ' (x) = 0, sustituyes, y queda:
-2(senx - cosx)*ex = 0, haces pasajes de factores como divisores (recuerda que el factor ex es estrictamente positivo), y queda:
senx - cosx = 0, haces pasaje de término, y queda:
senx = cosx, luego haces pasaje de factor como divisor, y queda (observa que el seno y el coseno no son simultáneamente nulos):
senx/cosx = 1, sustituyes la expresión del primer miembro, y queda:
tanx = 1, luego compones con la función inversa de la tangente, y tienes dos opciones:
c)
x = π/4 (en el primer cuadrante);
d)
x = 5π/4 (en el tercer cuadrante).
Luego, con los posibles puntos de inflexión, divides el dominio en subintervalos, eliges un representante en cada uno de ellos y evalúas la expresión de la derivada segunda:
d1)
(0,π/4), representado por: x = π/6, y para él tienes: f ' ' (π/6) = -2( 1/2 - √(3)/2 )*eπ/6 = ( 1 - √(3) )*eπ/6 < 0,
por lo que la gráfica de la función es cóncava hacia abajo en este subintervalo;
d2)
(π/4,5π/4), representado por: x = π, y para él tienes: f ' ' (π) = -2( 0 - (-1) )*eπ/2 = -2*eπ/2 < 0,
por lo que la gráfica de la función es cóncava hacia abajo en este subintervalo;
d3)
(5π/4,2π), representado por: x = 3π/2, y para él tienes: f ' ' (3π/2) = -2(-1 - 0)*e3π/2 = 2*e3π/2 > 0,
por lo que la gráfica de la función es cóncava hacia arriba en este subintervalo;
por lo tanto tienes que la gráfica de la función no presenta punto de inflexión en x = π/4 (observa que es cóncava hacia abajo a izquierda y a derecha de él),
y si presenta punto de inflexión en x = 5π/4 (observa que es cóncava hacia abajo a izquierda de él, y es cóncava hacia arriba a derecha de él).
Espero haberte ayudado.
Hola muy buenas..
Por fa alguien me podría ayudar con la Transformada de Laplace de f(t).
f(t)= (1/t)(Sen2t Cos t )
Les aGradecería mucho si me ayuda alguien.
Gracias

¡Hola! Nos encantaría ayudarte, pero no solemos responder dudas universitarias que no tengan que ver específicamente con los vídeos que David Calle ha grabado como excepción. O de otras asignaturas que no sean Matemáticas, Física y Química. Lo sentimos de corazón… Esperamos que lo entiendas.
Ojalá algún unicoo universitario se anime a ayudarte (de hecho, lo ideal es que todos los universitarios intentarais ayudaros los unos a los otros).
este ejercicio del teorema de Pitagoras no logro hacerlo ya que no menciona triángulo rectángulo sino un cuadrado
Calcula la diagonal de un cuadrado de 5 dm de lado.
y este me dió 12 cm y en el solucionario dice que es 11,57 cm que hice mal?
Calcula el cateto que falta en el siguiente triángulo: hipotenusa 15 cm y cateto menor 9 cm

1)
Tienes el cuadrado cuyo lado mide: L = 5 dm, luego trazas su diagonal, y tienes que el cuadrado queda dividido en dos triángulos rectángulos isósceles, cuyos catetos iguales miden L = 5 dm. Luego tomas uno de dichos triángulos rectángulos, llamas h a la longitud de su hipotenusa, y plantea la relación pitagórica:
h2 = L2 + L2, haces pasaje de potencia como raíz, y queda:
h = √(L2 + L2) = √(52 + 52) = √(25 + 25) = √(25*2) = √(25)*√(2) = 5*√(2) ≅ 7,071 dm.
2)
Tienes un triángulo rectángulo cuya hipotenusa mide: h = 15 cm, y cuyo cateto menor mide: x = 9 cm. Luego, llamas y a la longitud del cateto mayor, y plantea la relación pitagórica:
x2 + y2 = h2, haces pasaje de término, y queda:
y2 = h2 - x2, haces pasaje de potencia como raíz, y queda:
y = √(h2 - x2), reemplazas valores, y queda:
y = √(152 - 92) = √(225 - 81) = √(144) = 12 cm.
En este problema debes consultar con tus docentes por las dudas haya error de impresión en el solucionario o en el enunciado.
Espero haberte ayudado.

Te dejo algunos ejercicios resueltos en PDF sobre el teorema de Pitágoras que quizás te ayuden: https://www.leccionesdemates.com/blog/teorema-de-pitagoras/
Un saludo.