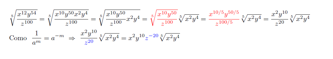
Ayuda por favor con el inciso c, como determino los plano proyectantes. Ya tengo la ecuacion vectorial de la resta l que es:
(x;y;z)= (0; -9.5; -13.5) + t(1;3;4)
Gracias de antemano.

Puedes resolver el segundo miembro en la ecuación vectorial paramétrica de la recta, y queda:
< x , y , z > = < 0+t , -9,5+3t , -13,5+4t >,
luego, por igualdad entre vectores, igualas componente a componente y queda el sistema de ecuaciones cartesianas paramétricas de la recta:
x = t (1)
y = -9,5 + 3t, aquí despejas: (y + 9,5)/3 = t (2),
z = -13,5 + 4t, aquí despejas: (z + 13,5)/4 = t (3);
luego:
1)
igualas las expresiones señaladas (1) (2) y tienes:
x = (y + 9,5)/3, aquí haces pasaje de divisor como factor, luego pasaje de término, y queda:
3x - y = 9,5, que es la ecuación del plano proyectante sobre el plano coordenado OXY;
2)
igualas las expresiones señaladas (1) (3) y tienes:
x = (z + 13,5)/4, aquí haces pasaje de divisor como factor, luego pasaje de término, y queda:
4x - z = 13,5, que es la ecuación del plano proyectante sobre el plano coordenado OXZ;
3)
igualas las expresiones señaladas (2) (3) y tienes:
(y + 9,5)/3 = (z + 13,5)/4, aquí haces pasajes de divisores como factores, luego pasajes de términos, y queda:
4y - 3z = 2,5, que es la ecuación del plano proyectante sobre el plano coordenado OYZ.
Espero haberte ayudado.
Hola.No entiendo nada la verdad:
ABC es un triángulo rectángulo con hipotenusa BC = sqrt(3) metros. Determina el cono K de volumen
máximo que se pueda obtener de la revolución completa del triangulo alrededor de uno de sus
catetos y su capacidad de K expresada en litros.
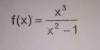
Me pide encontrar los intervalos de monotonía y los extremos relativos con el criterio de la primera derivada

Tienes la expresión de la función, cuyo dominio es: D = R - {-1,1} = (-∞,-1) ∪ (-1,1) ∪ (1,+∞):
f(x) = x3 / (x2 - 1) = ( (x3 - x) + x ) / (x2 - 1) = ( x(x2 - 1) + x ) / (x2 - 1) = x(x2 - 1)/(x2 - 1) + x/(x2 - 1) = x + x/(x2 - 1).
Luego, plantea la expresión de la función derivada:
f ' (x) = 1 + ( 1(x2 - 1) - x2x ) / (x2 - 1)2 = (-x2 - 1) / (x2 - 1)2 = -(x2 + 1) / (x2 - 1)2, y observa que está definida en todo el dominio de la función.
Luego, plantea la condición de punto crítico (posible máximo o posible mínimo):
f ' (x) = 0, sustituyes, y queda:
-(x2 + 1) / (x2 - 1)2 = 0, haces pasaje de divisor como factor, y queda:
-(x2 + 1) = 0, multiplicas en ambos miembros por -1, y queda:
x2 + 1 = 0, haces pasaje de término, y queda:
x2 = - 1, que es una ecuación que no tiene solución real.
Luego, observa la expresión de la función derivada:
f ' (x) = -(x2 + 1) / (x2 - 1)2,
observa que el denominador es positivo para todo valor x perteneciente al dominio de la función,
y que el numerador es negativo para cualquier valor x perteneciente al dominio de la función,
por lo que tienes que la gráfica de la función es decreciente en todos los subintervalos del dominio de la función y, por lo tanto,
tienes que la gráfica de la función no presenta extremos relativos.
Espero haberte ayudado.
En el ejercicio que adjunto: me dio que la ecuación de la parábola es: x^2-4x+y. La ecuación de la tangente me dio: 1/2x-y+1,5=0. Es correcto el resultado??
Es posible que tensa que la parábola tenga más de una tangente en el mismo punto???

Observa que tienes una parábola con eje focal paralelo al eje coordenado OY, de la que tienes el vértice, y puedes plantear para el parámetro:
c = d(V,F) = |4 - 15/4| = 1/4.
Luego, plantea la ecuación cartesiana canónica de la parábola:
y - 4 = 4(1/4)(x - 2)2, resuelves el coeficiente en el segundo miembro, desarrollas el binomio elevado al cuadrado, haces pasaje de término, y queda:
y = x2 - 4x + 8, que es la ecuación cartesiana explícita de la parábola.
Luego, plantea la ecuación de una recta que pasa por el punto A(3,3):
y - 3 = m(x - 3), haces pasaje de término, y queda:
y = m(x - 3) + 3 (1),
luego igualas las expresiones remarcadas, y queda:
x2 - 4x + 8 = m(x - 3) + 3, desarrollas el segundo miembro, haces pasajes de términos, y queda:
x2 - mx - 4x + 3m + 5 = 0, extraes factor común entre los términos lineales, agrupas los términos independientes, y queda:
x2 - (m+4)x + (3m+5) = 0,
que es una ecuación polinómica cuadrática cuyo discriminante es:
D = (m+4)2 - 4(1)(3m+5) = m2 + 8m + 16 - 12m - 20 = m2 - 4m - 4;
luego, como la recta tangente se corta con la parábola en un solo punto, plantea la condición de solución única:
D = 0, sustituyes, y queda:
m2 - 4m - 4 = 0,
que es una ecuación polinómica cuadrática cuyas soluciones son:
a)
m = ( 4 - √(32) )/2 = 2 - 2√(2);
b)
m = ( 4 + √(32) )/2 = 2 + 2√(2).
Luego, solo queda que reemplaces en la ecuación de la recta tangente señalada (1) y tienes las ecuaciones de las dos rectas tangentes a la parábola que pasan por el punto A(3,3).
Espero haberte ayudado.
Buenas tardes, el problema que adjunto, lo resolví hace 40 años; hoy en día con ayuda de Excel lo he resuelto, pero hace 40 años no habían las PCs que hoy existen. Me gustaría muchísimo si alguien me puede orientar sobre la solución matemática de este problema. Lo he trasladado a la forma polar y nuevamente me resulta una ecuación donde intervienen el ángulo y la función trigonométrica.
Donde Θ1 es el ángulo del punto de encuentro E con el eje polar y R puede sustituirse por R=2 sen Θ1.
Desde ya muchas gracias por sus comentarios y opiniones.
Hola, Agradezco mucho tu pronta respuesta. ¿Serías tan amable de enviarme el gráfico que representan las áreas indicadas? También estuve trabajando por ese lado, pero debo haber hecho algo mal y no llegué a ningún resultado.
Finalmente, si me pudieras recomendar algún sitio (o libro) donde pueda encontrar mas información sobre el método de la bipartición. Este problema me fue presentado originalmente hace 40 años por un señor español, tal como lo planteas en la respuesta, el burro que debe ser amarrado para que se coma la mitad de un terreno circular. Gracias de antemano por tu atención.
Por favor, podrías subir videos de estos temas:
1. Demostrar que el limite de una funcion es igual a un determinado valor con la definición de limite, pero que al hacerlo Épsilon te dependa de x.
2. Estudiar la monotonía de una función definida a trozos
3. Discutir un sistema de ecuaciones con dos parámetros, a y b, y que b esté en la matriz de coeficientes.
Si no es mucha molestia, gracias.
Creo que me he expresado mal:
1. Lo que quería decir es que al igualar Delta y Epsilon en esa relación se encuentren dependiendo de x, no hay ningún video de eso.
2. Gracias, esto si lo he encontrado.
3. No hay ningún video en el que el parámetro b se encuentre en la matriz de coeficientes, solo se encuentra en la matriz ampliada
por favor podríais representar gráficamente ejemplos de una función exponencial, función logarítmicas, función potencia y funciones trigonométricas(seno, coseno y tangente). con explicacion si es posible. muchaaas gracias