Foro de preguntas y respuestas de Matemáticas

logo beUnicoos
Los foros de unicoos se han unificado en nuestra nueva plataforma beUnicoos. Para dejar nuevas preguntas deberás hacerlo allí, donde además podrás encontrar nuevas asignaturas y herramientas para ayudarte más con tus estudios.

  • Usuario eliminado
    el 12/11/17

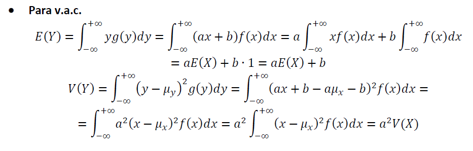
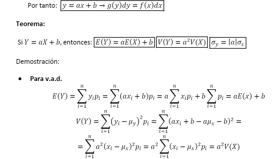
    Si X es una variable aleatoria con media m y varianza σ2, entonces la variable aleatoria Y = aX + b (con a y b números reales)

    a) ¿Qué desviación típica tiene? (No olvides que tienes que demostrarlo) 

    b) Aplica el resultado obtenido a la variable Y = – 2 X +3

    Me podeis ayudar en este ejercicio ????

    replythumb_up0 voto/sflag
    icon

    Antonius Benedictus
    el 12/11/17


    thumb_up0 voto/sflag
  • icon

    Juanan
    el 12/11/17

    Hola, no sé como se resuelve el límite f: 

    replythumb_up0 voto/sflag
    icon

    Antonius Benedictus
    el 12/11/17


    thumb_up0 voto/sflag
  • icon

    Maria Mestre
    el 12/11/17

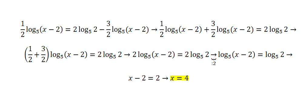
    Hola. Cómo se resuelve la siguiente ecuación logarítima. Gracias

    ½ log5 (x-2) = 2log52 – 3/2 log5(x-2)

    replythumb_up0 voto/sflag
    icon

    Antonius Benedictus
    el 12/11/17

    ¿Te importa poner foto del enunciado original?


    thumb_up1 voto/sflag
    icon

    Maria Mestre
    el 12/11/17

    Envio el enunciado original.

    También envio mi posible solución. Pero tengo apuntado que la solución es 6. Por más que la repaso, no encuentro el error.

    thumb_up0 voto/sflag
    icon

    Antonius Benedictus
    el 12/11/17

    x=0 no vale.


    thumb_up1 voto/sflag
  • icon

    Anna Perieras
    el 12/11/17

    Como seria la derivada de:

    f(x)=2∛x3 -3√x

    replythumb_up0 voto/sflag
    icon

    Antonius Benedictus
    el 12/11/17

    Pon foto del original, Anna.

    thumb_up0 voto/sflag
    icon

    Anna Perieras
    el 12/11/17

     

    thumb_up0 voto/sflag
    icon

    Antonius Benedictus
    el 12/11/17


    thumb_up1 voto/sflag
  • icon

    Alberto
    el 12/11/17

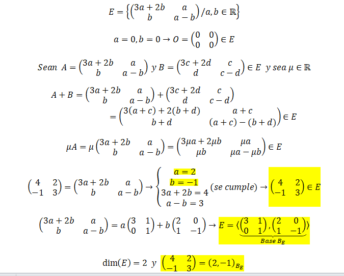
    Probar que: 

    E= (3a+2b      a) :a,b εℛ}

         (b           a-b)

    Es un subespacio vectorial de M2 (ℛ). Hallar la dimensión de E y una base. Sea la matriz A=(4  2)

                                                                                                                                                                      (-1 3)

    ¿Pertenece a E? En caso afirmativo, hallar las coordenadas de A en la base dada.


    replythumb_up0 voto/sflag
    icon

    Antonius Benedictus
    el 12/11/17


    thumb_up1 voto/sflag
  • icon

    necronomicion00
    el 12/11/17

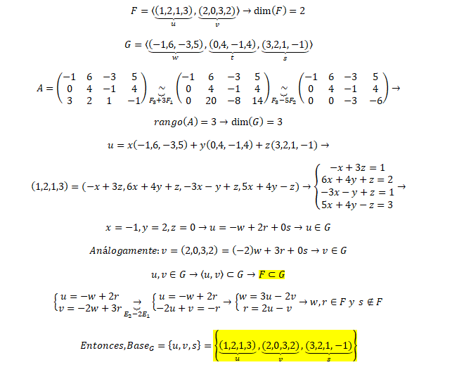
    en R4 consideramos el subespacio vectorial F generado por los vectores (1, 2, 1, 3) y (2, 0, 3, 2), y el subespacio G generado por (-1, 6, -3, 5), (0, 4, -1, 4) y (3, 2, 1, -1). Compruebe que F ⊂ G, y ampliar una base de F hasta obtener una base de G.

    replythumb_up0 voto/sflag
    icon

    Antonius Benedictus
    el 12/11/17


    thumb_up0 voto/sflag
  • icon

    Carlos
    el 12/11/17

    Encontrar el vector del plano que está a 7 unidades de distancia del origen y es normal al vector 3i+5j-6k 

    replythumb_up0 voto/sflag
    icon

    Antonius Benedictus
    el 12/11/17

    Enunciado original, por favor.

    thumb_up0 voto/sflag
    icon

    Carlos
    el 12/11/17


    thumb_up0 voto/sflag
    icon

    Antonius Benedictus
    el 12/11/17


    thumb_up0 voto/sflag
  • icon

    Paco Acosta
    el 12/11/17

    Alguien que me pueda ayudar? He vuelto a estudiar despues de 20 años y estoy perdido pero que me expliquen los pasos, por favor.

    replythumb_up0 voto/sflag
    icon

    Antonius Benedictus
    el 12/11/17


    thumb_up0 voto/sflag
  • icon

    Andrea hdz
    el 12/11/17

    Como quedaría la simplificación de 2x/x???

    replythumb_up0 voto/sflag
    icon

    César
    el 12/11/17

    2x/x=2  ¿?

    thumb_up0 voto/sflag
  • icon

    Carlos
    el 12/11/17

    Describir y dibujar la superficie en R 3 representada por la ecuación y = x

    replythumb_up0 voto/sflag
    icon

    César
    el 12/11/17


    thumb_up0 voto/sflag
    icon

    Carlos
    el 13/11/17

    pero de manera numerica se podria hacer? porque en R2 la ecuación x=y viene de y= ax + b y como b= 0 corta en el las coordenadas (0,0) y según aumenta x aumenta y siendo creciente pero en R3 no sabría como representarlo

    thumb_up0 voto/sflag