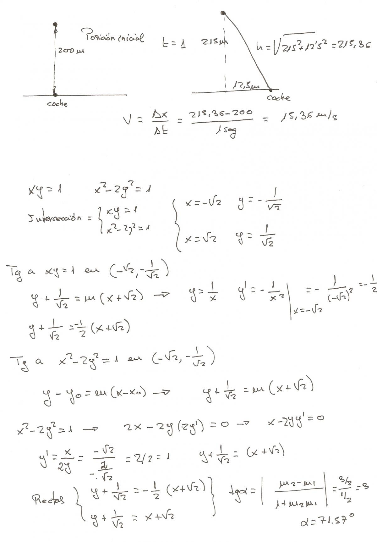
Hola, buenas noches. Me han mandado estos problemas relacionados con la interpretación física de la derivada, y me resultan muy difíciles, no se si voy bien en el proceso, ni como seguir. Un saludo, muchas gracias.
Hola, buenas noches. No entiendo como se hacen ninguno de estos ejercicios, ni los cambios que se hacen ni nada. Estoy preocupada. Un saludo, muchas gracias![]()
![]()
Quizá así con cambio de variable te enteres mejor (los demás se hacen igual)
a)
2x+1+2x = 3
Usamos las propiedades de las potencias:
2x*21+2x= 3
Colocamos para operar con facilidad:
2*2x +2x= 3
Hacemos cambio 2x=t
2*t+t = 3
Obtenemos el valor de t:
2t+t= 3
3t=3
t=1
Deshacemos cambio de variable:
Como t=1 y 2x=t , entonces 2x=1
Sabemos por las propiedades de las potencias que dos elevado a cero es 1, por lo tanto:
2x=20 ⇔ x=0
concluimos que x=0
Hola, el siguiente problema de vectores no me sale del todo bien :(
Un saco de patatas de una masa de 54 Kg es tirado por una polea. En ello se forma un angulo de 35 grados entre las dos cuerdas.
Determina la dirección y la fuerza F, que actúa sobre la fijación en el techo.
Un saludo :)
Hola, cómo puedo demostrar que la función f (x) = ((x^5) z - 2 (y^2) (x^2)) / (2 (x^2) + y + z)1/5 es homogénea o no.
gracias,
un saludo

Un punto es interior de A si existe un entorno de él totalmente contenido en A. En caso del plano, un disco abierto. En el espacio, una bola abierta.
Todos los puntos de un intervalo abierto son interiores.
Un conjunto abierto es el que coincide con su interior.
Un punto es de la frontera de A si en cualquier entorno de él hay elementos de A (que puede ser el propio punto) y elementos que no están en A. Un punto "suelto" de A es siempre frontera. si A es un intervalo (abierto o cerrado), los extremos del intervalo son frontera.
Un punto es adherente a A si en cualquiera de sus entornos hay elementos de A (o infinitos, y es de "acumulación" o solo uno, y es "aislado"). Si un conjunto coincide con su adherencia es cerrado.