Foro de preguntas y respuestas de Matemáticas

logo beUnicoos
Los foros de unicoos se han unificado en nuestra nueva plataforma beUnicoos. Para dejar nuevas preguntas deberás hacerlo allí, donde además podrás encontrar nuevas asignaturas y herramientas para ayudarte más con tus estudios.

  • icon

    Carolina P
    el 10/11/17

    ''Recta que pasa por (3,2) y tiene pendiente 2."
    Debo determinar la ecuación general con estos datos, pero no entiendo bien cómo hacerlo.

    replythumb_up0 voto/sflag
    icon

    César
    el 10/11/17

    icon

    Antonius Benedictus
    el 10/11/17

    Ecuación Punto-pendiente:

    (y-2)/(x-3)=2

    y-2=2(x-3)

    y-2=2x-6

    2x-y-4=0


    thumb_up0 voto/sflag
  • icon

    berni
    el 10/11/17
    flag

    Necesito la desviación tipica por el total de unidades vendidas a todos los clientes

    El promedio a clientes espanyoles es 5000, y el total "general" 4723,08

    replythumb_up0 voto/sflag
    icon

    David
    el 15/11/17

    No entiendo que te piden, lo siento...

    thumb_up0 voto/sflag
  • icon

    Juan
    el 10/11/17

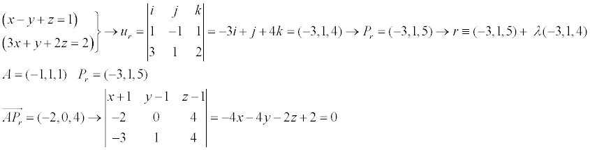
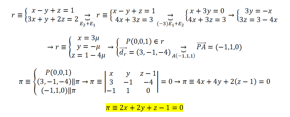
    [El ejercicio 1 hace referencia a la recta formada por (x-y+z=1), (3x+y+2z=2)]

    Hola, necesito que alguien me ayude a resolver este ejercicio, ya que no se si estoy haciéndolo correctamente. Adjunto mis cálculos: 


    replythumb_up0 voto/sflag
    icon

    Antonius Benedictus
    el 10/11/17


    thumb_up1 voto/sflag
    icon

    César
    el 10/11/17


    thumb_up1 voto/sflag
  • icon

    Julio Rojas
    el 10/11/17

    Me podrian ayudar con esta integral no tengo ni idea de como hacer para que me de ese resultado 

    replythumb_up0 voto/sflag
    icon

    Antonius Benedictus
    el 10/11/17


    thumb_up0 voto/sflag
  • icon

    Cristian
    el 10/11/17

    Hola que tal.. Me quede trabado trabado en el ejercicio 10. Dejo una imagen. Y tambien dejo otra imagen de lo que estuve planteando. 

    replythumb_up0 voto/sflag
    icon

    Antonius Benedictus
    el 10/11/17


    thumb_up0 voto/sflag
  • icon

    hillary
    el 10/11/17
    flagflag

    Me gustaría saber si podrías colgar un video explicando las curbas de nivel con funciones, mas en profundidad. He estado buscando y hay muy pocos videos sobre el tema.

    Muchísimas Gracias! 

    replythumb_up0 voto/sflag
    icon

    David
    el 15/11/17

    No puedo ayudarte con esa leccion, lo siento. Espero lo entiendas.. Un abrazo!

    thumb_up0 voto/sflag
  • Usuario eliminado
    el 10/11/17
    flagflag

    Me podrían dar un cable con esto:


    replythumb_up0 voto/sflag
    icon

    Antonius Benedictus
    el 10/11/17

    ¿Con cuál ,Eduardo?

    thumb_up0 voto/sflag

    Usuario eliminado
    el 11/11/17

    Con los ejercicios 3,4 y 5 Profr. Antonio.

    thumb_up0 voto/sflag
    icon

    Antonius Benedictus
    el 11/11/17


    thumb_up0 voto/sflag
  • icon

    Vivi
    el 10/11/17

     Me ayudan con esos dos ejercicios 

    replythumb_up0 voto/sflag
    icon

    Ángel
    el 10/11/17

    23)

    Eje X

    3-(-2)= 5

    Eje Y

    2-(-1)=

            

    Eje X

    5÷3= (5/3)

    Eje Y

    3÷3= 1


    Coordenadas X

    x1= -2+(5/3)= -1/3

    x2-1/3 +(5/3)= 4/3


    Coordenadas  Y

    y1-1+1= 0

    y2= 0+1= 1


    Solución (Opción A)

    (x1,y1)= (-1/3, 0)

    (x2,y2)= (4/3, 1)

    thumb_up0 voto/sflag
  • icon

    Manuel
    el 10/11/17

    ¿podrian decirme si este ejercicio esta bien resuelto? Sobretodo saber si el ultimo paso de simplificar el resultado seria correcto.


    Por si la letra no se entiende el enunciado dice: ENCUENTRA LA ECUACION DEL PLANO QUE CONTIENE LOS PUNTOS P(121) Q (123) Y A S COMO INTERSECCION DE LA RECTA R:{  } Y EL PLANO X+Y+Z=0

    replythumb_up0 voto/sflag
    icon

    Antonius Benedictus
    el 10/11/17

    Vale.

    Te mando otra resolución:


    thumb_up0 voto/sflag
  • icon

    Manuel
    el 10/11/17

    Buenos dias. Tengo una duda que me ha surgido al calcular la rectainterseccion entre dos planos. 

    El proceso del calculo se como es, pero la duda es: (A VER SI ME EXPLICO BIEN jejeje)


    A la hora de calcular el punto P que determina la recta r:(P,v), se que tengo que darle a la x, y ó z, valor 0, y sustituyo en el sistema  de ecuaciones formado con las ecuaciones de los dos planos y despejando calculo los valores de las otras dos componentes. La duda es: a quien le doy el valor 0? 


    la duda me ha surgido porque en mi problema le dado x=0 pero el resultado me dado distinto al que me daba el libro. Sin embargo al darle z=0 ya me ha dado el resu,tado del libro.


    Quiere decir esto que no puedo darle valor 0 a cualquier componente? 



    Espero que se me entienda. Un saludo y gracias!!

    replythumb_up0 voto/sflag
    icon

    Antonius Benedictus
    el 10/11/17

    Depende de qué valor des y a qué incógnita obtendrás uno u otro punto de la recta. Pero valdría cualquiera de ellos, si los cálculos están bien. Es frecuente (por pura inercia) poner z=0.

    thumb_up1 voto/sflag
    icon

    Manuel
    el 10/11/17

    Entonces, salvo que en el sistema una de las ecuaciones sea z=0, que podria pasar, lo mejor es darle siempre z=0? Como dices que tipico ponerlo por inercia... 😉


    Muchas gracias

    thumb_up0 voto/sflag
    icon

    Antonius Benedictus
    el 10/11/17

    Sí, salvo que la última ecuación sea del tipo z=5 (por ejemplo).

    Pero con la práctica te irás dando cuenta de cuál elegir y con qué valor, para obtener coordenadas enteras o, si no se puede, lo más cómodas posibles.


    thumb_up1 voto/sflag