Hola, a ver si alguien puede ayudarme a resolver este ejercicio:
Calcula las ecuaciones parametricas de un plano paralelo al eje OZ cuya interseccion con el plano OXY es la recta (x y z)= ¥(1,3,0)
(¥ es el parametro LANDA, que no se como ponerlo) 😅😅
Mi mayor problema es que no se cua es el punto de corte
Hola unicoos, ayuda con este problema de estadística, no se como plantearlo
, no se que ecuación usar o donde hacer el cambio de variable

¡Hola! Nos encantaría ayudarte, pero no solemos responder dudas universitarias que no tengan que ver específicamente con los vídeos que David Calle ha grabado como excepción. O de otras asignaturas que no sean Matemáticas, Física y Química. Lo sentimos de corazón… Esperamos que lo entiendas.
Ojalá algún unicoo universitario se anime a ayudarte (de hecho, lo ideal es que todos los universitarios intentarais ayudaros los unos a los otros).

Tienes la expresión de la función:
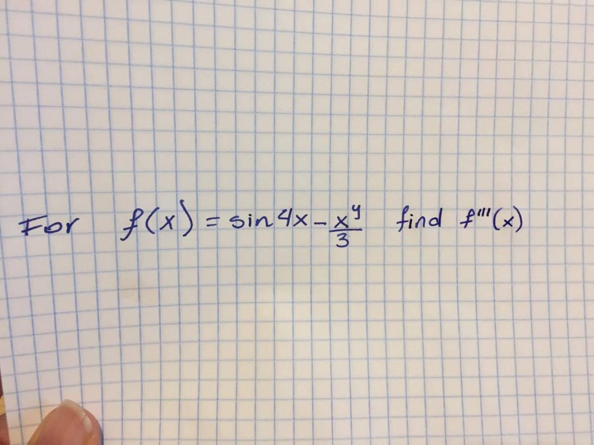
f(x) = sen(4x) - (1/3)*x4.
Luego, plantea la expresión de la función derivada primera (observa que debes aplicar la regla de la cadena en el primer término de la expresión):
f ' (x) = cos(4x)*4 - (1/3)*4*x3= 4*cos(4x) - (4/3)*x3.
Luego, plantea la expresión de la función derivada segunda (observa que debes aplicar la regla de la cadena en el primer término de la expresión):
f ' ' (x) = 4*(-sen(4x)*4) - (4/3)*3*x2= -16*sen(4x) - 4*x2.
Luego, plantea la expresión de la función derivada tercera (observa que debes aplicar la regla de la cadena en el primer término de la expresión):
f ' ' ' (x) = -16*(cos(4x)*4) - 4*2*x = - 64*cos(4x) - 8x.
Espero haberte ayudado.

Si tienes que el exponente en el segundo término de la expresión es y, debes considerarlo como una constante, ya que según tienes en tu enunciado, la función tiene variable independiente x.
f(x) = sen(4x) - (1/3)*xy.
Luego, plantea la expresión de la función derivada primera (observa que debes aplicar la regla de la cadena en el primer término de la expresión):
f ' (x) = cos(4x)*4 - (1/3)*y*xy-1= 4*cos(4x) - (1/3)*y*xy-1.
Luego, plantea la expresión de la función derivada segunda (observa que debes aplicar la regla de la cadena en el primer término de la expresión):
f ' ' (x) = 4*(-sen(4x)*4) - (1/3)*y*(y-1)*xy-2 = -16*sen(4x) - (1/3)*y*(y-1)*xy-2.
Luego, plantea la expresión de la función derivada tercera (observa que debes aplicar la regla de la cadena en el primer término de la expresión):
f ' ' ' (x) = -16*(cos(4x)*4) - (1/3)*y*(y-1)*(y-2)*xy-3 = - 64*cos(4x) - (1/3)*y*(y-1)*(y-2)*xy-3.
Espero haberte ayudado.
Buenas. Estoy atascado en algún que otro ejercicio, y necesitaría una ayudita a ser posible :)
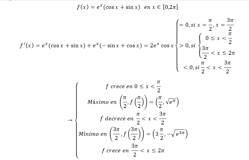
Tengo que estudiar el crecimiento y decrecimiento, así como hallar los máximos y mínimos (relativos y globales) de la función f(x) = ex (cosx + senx) para x ∈ [0,2π]
Bien, la derivada da ex2cosx, siendo los valores que anulan la derivada x = π/2 y x = 3π/2 (donde el coseno vale cero). Hasta aquí fácil. Pero para los máximos y mínimos, tanto relativos como globales, ya no sabría seguir.
Me han comentado compañeros que el máximo relativo estaría en x = π/2 , el mínimo relativo en x = 3π/2 , el máximo global en x = 2π y el mínimo global en x = 3π/2 , pero no tengo ni idea de cómo han llegado a ello. ¿Podríais ayudarme?
Gracias!
Calculando rangos se que estas dos rectas son secantes. Ahora necesito calcular la ecuación general del plano que las contiene, Pero para eso necesito hallar el vector director y el punto de cada una de estas rectas.
De la recta s como esta ne forma de ecuación continua, se que es P: (-5,1,2) y el vector: (3,2,-4)
Pero en el caso de la recta r no se como calcularlo ya que hay dos ecuaciones generales...

Si ax+by+cz+d=0, un vector normal a este plano es n=(a,b,c)
El vector director de una recta que viene dada como intersección de dos planos es el producto vectorial de los dos vectores normales de dichos planos.
Y un punto de la recta: da un valor a una de las incógnitas y resuelve el sistema formado por las otras dos.