Foro de preguntas y respuestas de Matemáticas

logo beUnicoos
Los foros de unicoos se han unificado en nuestra nueva plataforma beUnicoos. Para dejar nuevas preguntas deberás hacerlo allí, donde además podrás encontrar nuevas asignaturas y herramientas para ayudarte más con tus estudios.

  • icon

    Ivan
    el 4/11/17

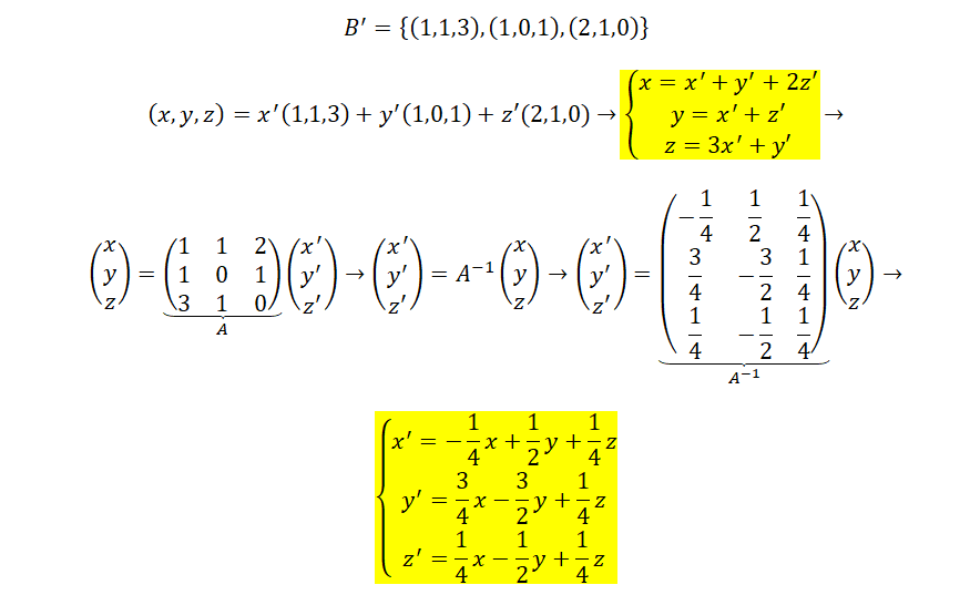
    Buenos días. Estaba con el tema de matrices de cambio de base pero hay un ejercicio que no acabo de comprender:

    Se considera la base B'= {(1,1,3),(1,0,1),(2,1,0)}.

      a) Encuentra la ecuación implícita en la base B' del plano que en la base canónica tiene la ecuación:   x-3y+z = 0

      b) Encuentra la ecuación implícita en la base canónica del plano que en la base B' tiene la ecuación:   x'-y'+z' = 0


    Para el apartado a) me da la solución si hago la matriz de cambio de base de B' a Bc pero no entiendo porque en ese sentido y no en el contrario. Lo mismo pasa con la b) de Bc a B'.

    ¿Por qué se hace en ese sentido y no el contrario?


    Muchas gracias



    replythumb_up0 voto/sflag
    icon

    Antonius Benedictus
    el 4/11/17


    thumb_up1 voto/sflag
  • icon

    David Poyatos
    el 4/11/17

    Hola, cómo se resolvería este ejercicio:

    Dados los puntos A(-1,1) y B(2,5) halla las coordenadas de todos los puntos, P, situado sobre la recta r:x + y=4 tales que las rectas PA y PB sean perpendiculares.

    No sé cómo plantear el problema con la recta r


    replythumb_up0 voto/sflag
    icon

    Antonius Benedictus
    el 4/11/17


    thumb_up0 voto/sflag
  • icon

    Oscar Gutiérrez Sanz
    el 4/11/17
    flag

    Buenos dias. A  ver si me podriais ayudar con estos ejercicios, gracias.

    a)16*+30·2 2*-1=

     *= elevado a x

     El 2 esta elevado a 2*-1 

    b)3+2·log en base 3·(x-1)=log en base 3 ·(9x+3)+(3x+9)


    replythumb_up0 voto/sflag
    icon

    Antonius Benedictus
    el 4/11/17

    Pon fotos de los enunciados originales, Óscar.

    thumb_up0 voto/sflag
    icon

    Oscar Gutiérrez Sanz
    el 5/11/17


    thumb_up0 voto/sflag
    icon

    Oscar Gutiérrez Sanz
    el 6/11/17

    espero que te sirvan los enunciados de la imagen 

    thumb_up0 voto/sflag
  • icon

    natalia martinez muñoz
    el 4/11/17
    flag

    Puedes hacerlo con una ecuacuin implicita por favor; por ejemplo: T={(x,y) ER2 /x2+y=0}

    replythumb_up0 voto/sflag
    icon

    Antonius Benedictus
    el 4/11/17

    ¿Qué?

    thumb_up0 voto/sflag
    icon

    natalia martinez muñoz
    el 5/11/17

    Buenas!

    Quería saber si puedes hacer un ejercicio de ALGEBRA Subespacio vectorial de 1º universidad con una ecuación implícita; por ejemplo: T={(x,y) ER2 /x2+y=0}.

    Un saludo.

    thumb_up0 voto/sflag
  • icon

    ElDelaxar
    el 4/11/17
    flag

    Podrían ayudarme en este ejercicio.



    replythumb_up0 voto/sflag
    icon

    Antonius Benedictus
    el 4/11/17

    Ésta es la gráfica de P:

    Los valores no son, ni mucho menos, porcentajes.

    Revisa el enunciado.

    thumb_up0 voto/sflag
  • icon

    ElDelaxar
    el 4/11/17

    Podrían ayudarme en este ejercicio.




    replythumb_up0 voto/sflag
    icon

    Antonius Benedictus
    el 4/11/17


    thumb_up0 voto/sflag
  • icon

    cachi
    el 4/11/17

  • icon

    cachi
    el 4/11/17

    Como se extraen factores de una raíz. no encuentro el tutorial. gracias.

    replythumb_up0 voto/sflag
    icon

    alex
    el 4/11/17

    https://www.youtube.com/watch?v=n4LBiSxHv94

    thumb_up1 voto/sflag
  • icon

    MARK JJ
    el 4/11/17
    flag

    Hola, necesito ayuda.

    Me sale 80 y me dicen que es 100. Como es posible si es un angulo agudo??

    La curiosidad me está matando.

    Perdonar mi ignorancia.


    https://pbs.twimg.com/media/DNyNVv5UMAE4Fto.jpg


    Gracias


    replythumb_up0 voto/sflag
    icon

    Antonius Benedictus
    el 4/11/17

    Parece más bien un ángulo obtuso.

    thumb_up1 voto/sflag
  • icon

    Ines9
    el 4/11/17

    sea A un suceso de probabilidad 0.3, B un suceso de probabilidad 0.6, siendo 0.2 la probabilidad de la intersección. ¿Cuánto vale

    la probabilidad de la intersección de los complementarios? me podriais ayudar con este problema por favor.

    replythumb_up0 voto/sflag
    icon

    Antonius Benedictus
    el 4/11/17

    Por una de las leyes de Morgan, la intersección de los complementarios es el complementario de la unión. Entonces, la probabilidad pedida es:

    1-(0.3+0.6-0.2)=1-0.7=0.3

    thumb_up0 voto/sflag