Ayuda por favor, ya resolvi todo pero tengo una duda cual seria la imagen ?? El tema es relacion. Aca dejo el enuciado y mi resultado final. Gracias de antemano
Buenas tardes! Quisiera que me brinden ayuda con este ejercicio de log que me tomaron en un examen en el cual salí mal.
El enunciado dice
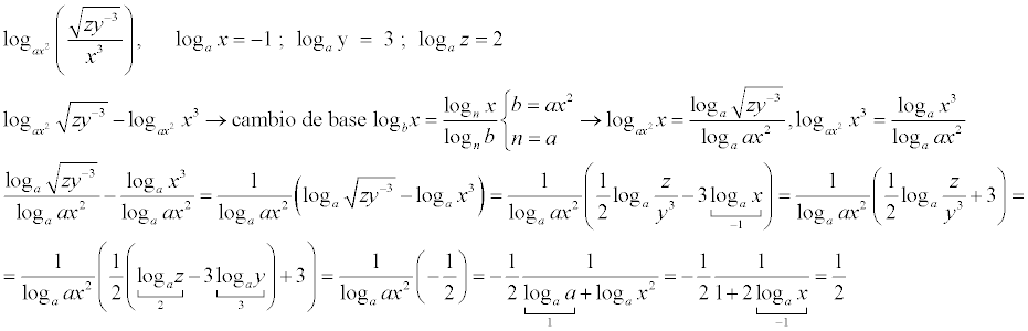
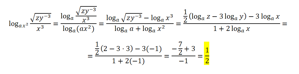
Sabiendo que: logax=−1 ; logaY = 3 ; logaz=2 , calcular solo mediante aplicación de propiedades:
Hola alguien podria decirme como se resuelve la inecuacion x3-4x2+4x partido de x+1 mayor o igual que cero? X3 es x al cubo y 4x2 es al cuadrado. Gracias.

Tienes dos opciones:
a)
Si x + 1 > 0, aquí haces pasaje de término, y queda: x > - 1 (1),
luego haces pasaje de divisor como factor en la inecuación de tu enunciado (observa que no cambia la desigualdad), y queda:
x3 - 4x2 + 4x ≥ 0, extraes factor común, y queda:
x(x2 - 4x + 4) ≥ 0, factorizas el trinomio cuadrado perfecto en el agrupamiento, y queda:
x(x - 2)2 ≥ 0, luego, observa que el segundo factor es positivo, por lo que queda la condición que el primer factor sea positivo: x ≥ 0 (2);
luego, para esta opción tienes, a partir de las inecuaciones señaladas (1) (2), el subintervalo: Ia = [0,+∞).
b)
Si x + 1 < 0, aquí haces pasaje de término, y queda: x < - 1 (3),
luego haces pasaje de divisor como factor en la inecuación de tu enunciado (observa que si cambia la desigualdad), y queda:
x3 - 4x2 + 4x ≤ 0, extraes factor común, y queda:
x(x2 - 4x + 4) ≤ 0, factorizas el trinomio cuadrado perfecto en el agrupamiento, y queda:
x(x - 2)2 ≤ 0, luego, observa que el segundo factor es positivo, por lo que queda la condición que el primer factor sea negativo: x ≤ 0 (4);
luego, para esta opción tienes, a partir de las inecuaciones señaladas (3) (4), el subintervalo: Ib = (-∞, 0).
Luego, plantea el intervalo solución para la inecuación del enunciado:
S = Ib ∪ Ia = (-∞, 0) ∪ [0,+∞).
Espero haberte ayudado.