Hola, necesito reforzar las derivadas. Podéis pasarme alguna pagina web donde haya? gracias
https://www.unicoos.com/cursos/1-bachiller/matematicas
https://www.unicoos.com/cursos/2-bachiller/matematicas
Mira los dos bloques de "Derivadas" (tienes para un buen rato)
respondi de esta manera, estoy en lo correcto o no? ayudenme porfa gracias!!!

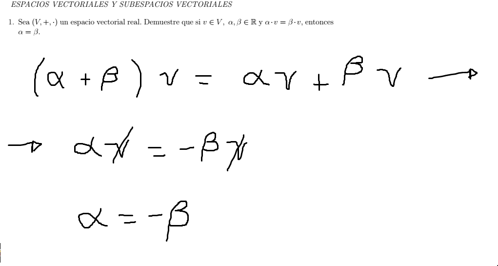
Como tienes un espacio vectorial, tienes:
(α + β)*v = α*v + β*v,
luego, como tienes en tu enunciado: α*v = β*v, sustituyes en el primer término del segundo miembro, y queda:
(α + β)*v = β*v + β*v,
luego distribuyes en el primer miembro, y queda:
α*v + β*v = β*v + β*v.
aplicas la propiedad cancelativa de la suma entre vectores, y queda:
α*v = β*v.
haces pasaje de término, y qeuda:
α*v - β*v = 0,
extraes factor común en el primer miembro, y queda (observa que indicamos con O al vector nulo):
(α - β)*v = O,
luego, si consideras que el vector v no es nulo, tienes que el coeficiente es igual a cero, por lo tanto puedes plantear:
α - β = 0,
haces pasaje de término, y queda:
α = β.
Espero haberte ayudado.
En el a) podemos ver que es falsa con un contraejemplo:
Suponemos la función definida a trozos
f(x)=
x+1 si x< 1
5 si x= 1
3x-1 si x> 1
Puedes observar que se cumple el antecedente lim(x->a-) f(x) = lim(x->a+) f(x)
y que no se cumple el consecuente (no es continua en x=a, porque no coincide con los límites laterales)
Concluimos que el condicional en el contraejemplo tiene esta forma V→F , por lo que la proposición es FALSA
El e) es el teorema de Rolle, es verdadero. Su demostración---> http://ocw.upm.es/matematica-aplicada/introduccion-a-los-sistemas-dinamicos/contenidos/derivacion/Tutorial-de-Derivacion/rolle_files/demostracion-del-teorema-de-rolle

Plantea la expresión del número complejo z en forma polar: z = |z|θ.
Plantea la expresión del cubo del número complejo z: z3 = (|z|θ)3 = (|z|3)3θ.
Plantea la expresión del conjugado del número complejo z en forma polar: zc = |z|-θ.
Plantea la expresión del número complejo real -1 en forma polar: -1 = 1π.
Luego, plantea la ecuación de tu enunciado:
z3 * zc = -1,
sustituyes expresiones, y queda:
(|z|3)3θ * |z|-θ = 1π.
Luego, resuelves el producto en el primer miembro, y queda:
(|z|3 * |z|)3θ-θ = 1π,
luego, resuelves en las expresiones del módulo y del argumento en el primer miembro, y queda:
(|z|4)2θ = 1π,
luego, por igualdad entre números complejos expresados en forma polar, tienes el sistema de ecuaciones:
|z|4 = 1, aquí haces pasaje de potencia como raíz, y queda: |z| = 1,
2θ = π, aquí haces pasaje de factor como divisor, y queda: θ = π/2;
luego, tienes que la solución del la ecuación que tienes en tu enunciado es:
z = 1π/2.
Espero haberte ayudado.
una consulta, para el criterio de semejanza entre triangulos, el criterio angulo lado LAL.
El angulo tiene que ser si o si el que esta comprendido entre los 2 lados? o puede ser cualquiera de los 2 restante?
Holaaa.. una pregunta de los numeros complejos..
si z esta en forma polar..
¿Si z es negado pues?
Hola, tengo el siguiente caso:
Encontrar los valores de a y b para que al dividir el polimonio P(x)=x^3+ax^2+bx-1 por x+2 o x-1 el residuo sea 1... alguna pista de como desarollarlo?
Gracias.