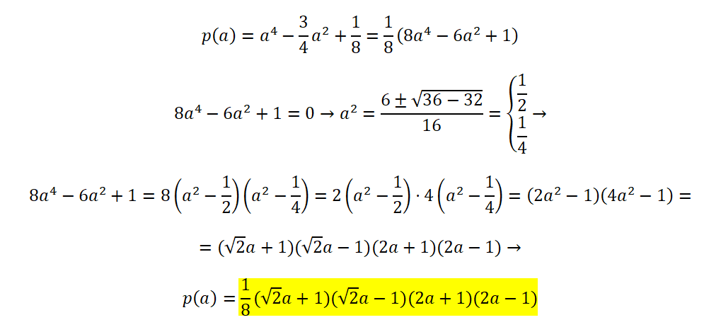
En el solucionario dice que da -8 este ejercicio pero a mi me da -3 , está mal el solucionario o en que he fallado?
hice lo siguiente hayé el mcm y me quedó así 30/10 - (20-5x)/10 = 2x+1/10
Me podrían ayudar explicándome como hacer este ejercicio.
Si los tres lados de un triángulo arbitrario se denota con los vectores A, B y C en el sentido de las agujas del reloj o en sentido contrario, entonces la ecuación A + B + C = 0 es válida. Demuestre la ley de senos.
Sugerencia: Obtenga el producto cruz de la ecuación separadamente por A y por B y examine las relaciones de magnitud de los productos.
¿Podrían ayudarme con un problema que tengo con un ejercicio? El ejercicio dice:
Calcula razonadamente el valor los siguientes límites:
lim (cos x - 1) lim log10 x
x->0 x->0.1
Gracias de antemano.

1)
Tienes el límite:
Lím(x→0) (cosx - 1) =
observa que tienes una resta entre dos funciones, por lo tanto puedes plantear:
= Lím(x→0) (cosx - 1) = Lím(x→0) cosx - Lím(x→0) 1 =
observa que para valores muy próximos a 0, tienes que el primer término tiende a cos(0) =1,
y observa que el segundo término es constante, por lo que tienes:
= 1 - 1 = 0.
2)
Tienes el límite:
Lím(x→0,1) log10(x) =
observa que para valores muy próximos a 0,1, tienes que el argumento tiende a log10(0,1) = log10(10-1) = -1, por lo que tienes:
= -1.
Espero haberte ayudado.