Hola! Llevo más de una hora intentando entender por qué al factorizar polinomios, algunas veces hay que multiplicar por el coeficiente principal (ej: -2x^(2)+2x+4 = -2(x+1)(x-2)) y otras no (ej: 9x^(2)+12x+4 = (3x+2)^(2))
Alguien me puede ayudar??
Siempre que tengas un polinomio de 2º grado y emplees la fórmula -b±√(b2-4*a*c) ÷2a , tendrás que multiplicar los factores obtenidos por el coeficiente de la equis de mayor grado
Ejemplo 1
-2x^(2)+2x+4
-b±√(b2-4*a*c) ÷2a ---------> -2±√36 ÷ -2*2 -----> x= 2 , x= -1
Entonces -2x^(2)+2x+4 = -2*(x-2)*(x+1)
Ejemplo 2
9x^(2)+12x+4
-b±√(b2-4*a*c) ÷2a ---------> -12±√0 ÷ 2*9 -----> x= -2/3 , x= -2/3
Entonces 9x^(2)+12x+4 = 9*(x+ 2/3)*(x+ 2/3)
*El ejemplo 2 lo tienes expresado en forma de trinomio cuadrado perfecto

Observa tu primer polinomio:
P(x) = -2x2 + 2x + 4,
extraes factor común -2 (coeficiente principal) y queda:
P(x) = -2(x2 - x - 2),
factorizas el trinomio con la fórmula de Baskara, y queda:
P(x) = -2(x + 1)(x - 2);
luego, tienes dos opciones más para factorizar, que obtienes distribuyendo el coeficiente principal con uno de los factores:
a) P(x) = (-2x - 2)(x - 2);
b) P(x) = (x + 1)(-2x + 4).
Recuerda que la expresión remarcada es la que corresponde a la máxima factorización posible, ya que tienes polinomios mónicos (sus coeficientes principales son iguales a 1) en los agrupamientos.
Recuerda también que puedes emplear cualquiera de las factorizaciones, la que te resulte más conveniente para la tarea que estés desarrollando.
Observa tu segundo polinomio:
Q(x) = 9x2 + 12x + 4,
extraes factor común 9 (coeficiente principal) y queda:
P(x) = 9(x2 + (4/3)x + 4/9),
factorizas el trinomio con la fórmula de Baskara (observa que es un trinomio cuadrado perfecto), y queda:
P(x) = 9(x + 2/3)(x + 2/3) = 9(x + 2/3)2;
luego, escribes al coeficiente principal como un cuadrado, y queda:
P(x) = 32(x + 2/3)2,
aplicas la propiedad del producto de potencias con exponentes iguales, y queda:
P(x) = ( 3(x + 2/3) )2,
distribuyes en el agrupamiento, y queda:
P(x) = (3x + 2)2.
Recuerda que la expresión remarcada es la que corresponde a la máxima factorización posible, ya que tienes un polinomios mónico (su coeficiente principal es igual a 1) en el agrupamiento.
Recuerda también que puedes emplear cualquiera de las factorizaciones, la que te resulte más conveniente para la tarea que estés desarrollando.
Espero haberte ayudado.
Buenos días, me gustaría que me ayudaran con esta problema que dice así:
Al repartir una cantidad en partes inversamente proporcionales a 2, 5 y 10, la cantidad que le corresponde a 10 es 1250. calcular: la cantidad que les corresponde a 2 y 5.
Gracias. que tengan un buen día.

Puedes plantear la razón:
r = 1250/(1/10) = 1250*10 = 12500;
y luego tienes:
x/(1/2) = r, haces pasaje de divisor como factor, y queda: x = (1/2)*r = (1/2)*12500 = 6750;
y/(1/5) = r, haces pasaje de divisor como factor, y queda y = (1/5)*r = (1/5)*12500 = 2500.
Espero haberte ayudado.
como se haría el volumen de una piscina de 1,40 metros de alto de una punta, de ancho 10 metros, y de largo 20, y la otra punta de alto 1,75 metros
Hola, como se resuelve este ejercicio:
Haya el baricentro de un triángulo de vértices A(1,0), B(3,4) y C(0,-2).
Al hacerlo por la definición: intersección de las tres medianas me da (1,0), pero al hacerlo por la fórmula me da (4/3,2/3). ¿En qué me he equivocado? ¿Es posible eso?

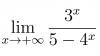
Aplicas la Regla de L'Hôpital, y queda:
Lím(x→+∞) 3x*ln(3) / ( -4x*ln(4) ) = extraes factores constantes en el numerador y en el denominador, y queda:
= ( -ln(3) / ln(4) ) * Lím(x→+∞) 3x/4x =
= ( -ln(3) / ln(4) ) * Lím(x→+∞) (3/4)x =
aquí recuerda la gráfica de la función cuya expresión es: f(x) = (3/4)x, que es una función exponencial con base menor que uno, que tiene asíntota horizontal derecha cuya ecuación es y = 0 (observa que la función tiende a cero cuando x tiende a +infinito), por lo tanto tienes:
( -ln(3) / ln(4) ) * 0 =
= 0.
Espero haberte ayudado.