Hola, no se que hacer con este ejercicio si alguien lo puede resolver porfa:
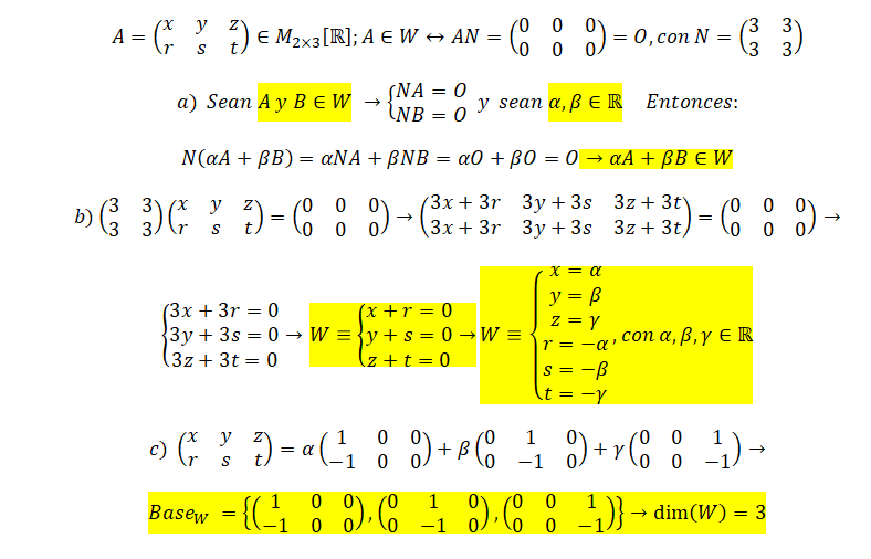
En el espacio vectorial real M2×3(R) sea W el conjunto definido por:
W={A€M /N·A=0} N= matriz cuadrada 2x2 donde todos sus elementos son igual a 3
a) Demuestra que W es un subespacio vectorial real de M2×3(R).
b) Calcula sus ecuaciones paramétricas y sus ecuaciones implícitas.
c) Calcula una base de W. Cuál es su dimensión?
Muchas gracias
Hola! Quería saber si el ejercicio de abajo es válido resolviéndolo mediante el determinante entre los 3 vectores, si se iguala el determinante a 0, se llega a la misma respuesta, pero no sé si es una coincidencia o siempre se puede aplicar para sistemas de nxn.

Es correcto, pues la condición algebraica para que n vectores sean linealmente dependientes es que el rango de la matriz que determinan sea menor que n. En el caso de tres vectores de dimensión 3, esto significa que el determinante de la matriz que determinan sea distinto de 0.
a ver si alguien me puede hechar una mano con este..
9. Se han analizado 1.000 muestras de sangre para determinar el nivel de colesterol. Se observa que se distribuyen normalmente con media 80 y desviación típica 16.
a) Calcula la probabilidad de que una determinación sea inferior a 75.
b) ¿Qué proporción de determinaciones tienen valores comprendidos entre 90 y 100?
c) ¿Cuántas determinaciones fueron superiores a 120?
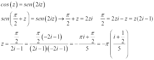
Hola, me podrían ayudar a resolver la ecuación cos(z)=sen(2iz) con z variable compleja. Muchas gracias :)

¡Hola! Nos encantaría ayudarte, pero no solemos responder dudas universitarias que no tengan que ver específicamente con los vídeos que David Calle ha grabado como excepción. O de otras asignaturas que no sean Matemáticas, Física y Química. Lo sentimos de corazón… Esperamos que lo entiendas.
Ojalá algún unicoo universitario se anime a ayudarte (de hecho, lo ideal es que todos los universitarios intentarais ayudaros los unos a los otros).
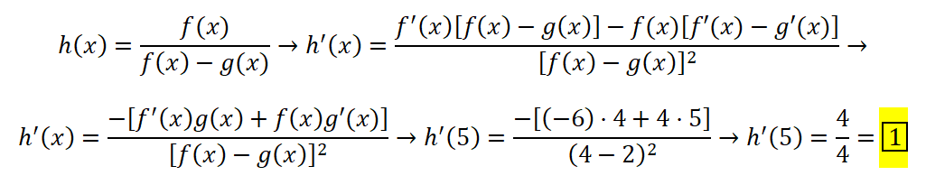
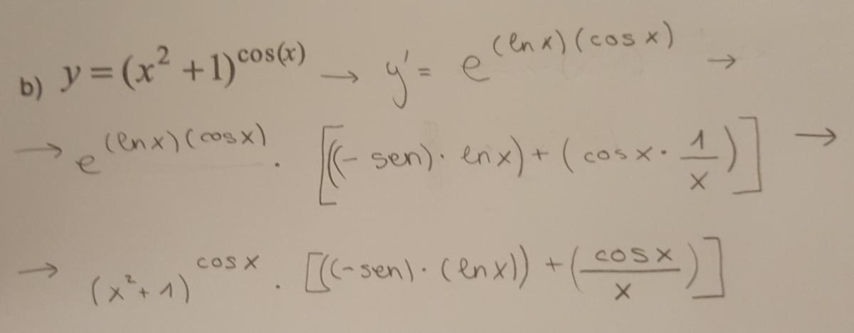
Hola! Me gustaría saber cómo se haría esta derivada:
f(x)= x√x-2
hola queria saber si alguien me podria aclarar una duda en cuanto a estos 2 teoremas de convergencia y divergencia de integrales impropias, no se cual usar en cada ejercicio, es decir, ¿los 2 solo se pueden aplicar en cualquier integral en un intervalo positivo o estoy equivocado?

Me encantaría ayudarte, pero no respondo dudas universitarias que no tengan que ver específicamente con los videos que ya he grabado como excepcion. O de otras asignaturas que no sean matemáticas, física y química. Lo siento de corazón… Espero lo entiendas
Ojalá algun unicoo universitario se anime a ayudarte (de hecho lo ideal es que todos los universitarios intentarais ayudaros los unos a los otros)
-6/x+4 < 0

Haces pasaje de término, y la inecuación queda:
4 < 6/x
Luego, observa que tienes dos opciones:
a)
si x > 0, haces pasaje de divisor como factor (observa que no cambia la desigualdad), y queda
4x < 6, haces pasaje de factor como divisor (observa que no cambia la desigualdad), y queda:
x < 3/2, por lo que esta opción conduce al subintervalo solución:
(0,+∞) ∩ (-∞, 3/2) = (0,3/2);
b)
si x < 0, haces pasaje de divisor como factor (observa que si cambia la desigualdad), y queda
4x > 6, haces pasaje de factor como divisor (observa que no cambia la desigualdad), y queda:
x > 3/2, por lo que esta opción conduce al subintervalo solución:
(-∞,0) ∩ (-∞, 3/2) = Φ;
luego, tienes para el intervalo solución de la ecuación de tu enunciado:
S = (0,3/2) ∪ Φ = (0,3/2).
Espero haberte ayudado.