
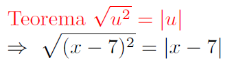
Otra forma más sencilla es aplicando uno de los teoremas de Papus el que está relacionado con el volumen.
" El volumen, V, de un sólido de revolución generado mediante la rotación de un área plana alrededor de un eje externo, es igual al producto del área, A, por la distancia, d recorrida por su centroide en una rotación completa alrededor del eje " Wikipedia
En un rectángulo el centroide es el punto de corte de sus diagonales , por dato este centroide recorre una longitud de 2*pi (alrededor del eje de rotación) y el área del rectángulo es 16 , de donde el volumen de manera directa es
V=2*pi*16 = 32*pi u^3

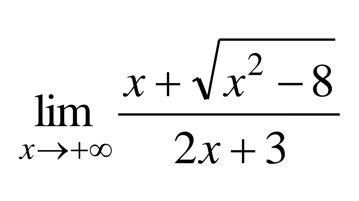
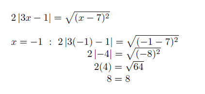
Ya que estás viendo estos temas es bueno que repases o aprendas algunos teoremas elementales , en la imagen pongo uno de ellos![]()
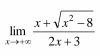
Generalmente se enseña como una manera práctica como un truco simplificar el exponente del argumento con el índice de la raíz cuadrada , hay que tener cuidado acá porque si no conoces la base te puede quedar un negativo como resultado , lo cual parece que así es como lo haces y no te cuadra los resultados .
La raíz cuadrada es siempre positivo o cero , jamás un negativo por ejemplo sqrt(9) = 3 es el único valor , NO es - 3
El teorema mostrado te ayuda en mucho a no cometer esos errores ya que al poner valor absoluto te aseguras que sea NO NEGATVO .