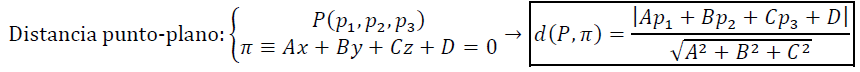
Hago esta pregunta aqui, ya que aún que el ejemplo es de física utiliza la trigonometria. Me surge una duda conceptual respecto al calculo de la pendiente. En este caso para calcular la acelaración calculamos la pendiente
. De todas formas según mi lógica, lo que estamos calculando es la hipotenusa y por tanto se podria calcular mediante hipotenusa. Xq no es así? gracias

no, eso que dices seria para geometria, y cuando hablas de la pendiente, se puede interpretar de varias formas, pero la mas simple seria ver como cambia y respecto de x (dy/dx) y se dibuja de esa forma, pero en realidad los cambios son demasiados pequeños para poder graficarlo. por eso se hace ese dibujo de manera "exagerada" . si hablas de fisica, en la mayoria de los casos de hablan de vectores, y no es lo mismo que una recta. Para fisica se hablaria de un vector y sus proyecciones en "x" e "y"
Necesito ayuda en este ejercicio por favor....llevado tres dias dando vueltas y uno de los apartados no logro demostrarlo y el otro no se si lo tengo bien...así que me gustaría su ayuda y gracias por adelantado.. es el 21
Buenas tardes es matemáticas de segundo podríais ayudarme?
Actividad 6
Una empresa cinematográfica dispone de tres salas, A, B y C. Los precios de entrada a estas salas son de 3, 4 y 5 euros, respectivamente. Un día la recaudación conjunta de las tres salas fue de 720 euros y el número total de espectadores fue de 200. Si los espectadores de la sala A hubiesen asistido a la sala B y los de la sala B a la sala A, se hubiese obtenido una recaudación de 20 euros más. Calcula el número de espectadores que acudió a cada una de las salas.
Actividad 7
Demostrar que

Observa que puedes plantear una ecuación por cada oración de tu enunciado (llamamos a, b, c a las cantidades de espectadores en cada sala):
3a + 4b + 5c = 720 (la recaudación conjunta es la suma de las recaudaciones de las salas);
a + b + c = 200 (la cantidad total de espectadores fue de 200);
4a + 3b + 5c = 740 (se intercambian las cantidades de espectadores de las salas A y B, y se recaudan 20 euros adicionales).
Luego, haces pasajes de términos en la segunda ecuación, y queda:
c = 200 - a - b (1),
luego sustituyes la expresión señalada (1) en las demás ecuaciones, y queda:
3a + 4b + 5(200 - a - b) = 720
4a + 3b + 5(200 - a - b) = 740.
Luego, distribuyes, haces pasajes de términos y reduces términos semejantes en ambas ecuaciones, y queda:
- 2a - b = - 280
- a - 2b = - 260.
Luego, haces pasajes de términos en la primera ecuación, y queda:
- 2a + 280 = b (2),
luego sustituyes la expresión señalada (2) en la última ecuación, y queda:
- a - 2(- 2a + 280) = - 260.
Luego, distribuyes, haces pasaje de término, reduces términos semejantes, y qda:
3a = 300, haces pasaje de factor como divisor, y queda: a = 100;
luego, reemplazas el valor remarcado en la ecuación señalada (2), y queda: 80 = b;
luego, reemplazas los valores remarcados en la ecuación señalada (1) y queda: c = 20.
Espero haberte ayudado.
Es matemáticas de primero podríais ayudarme?
Actividad 8
Al repartir el profesor bolígrafos a los alumnos, corresponden tres a cada uno y sobran 12. Añade tres más para que les corresponda un bolígrafo más a cada alumno y no sobra ninguno. Cuántos bolígrafos ha repartido y cuántos alumnos hay? ( Resolver mediante sistema de ecuaciones)
Actividad 9
Miriam ha realizado tres exámenes de matemáticas y la nota media de los tres ha sido 8,5. Si la nota media de los dos primeros es 8, y la nota media de los dos últimos es 9
a) Plantea un sistema de ecuaciones lineales para halla la calificación de cada uno de los exámenes.
b) Resuelve, mediante el método de Gauss, el sistema planteado en el apartado anterior.

Te ayudo con los sistemas de ecuaciones
8)
Puedes designar:
x = cantidad de alumnos,
y = cantidad de bolígrafos.
Luego, observa que puedes plantear una ecuación por cada oración de tu enunciado:
y = 3x + 12 (le corresponden tres bolígrafos a cada alumno, le sumas el sobrante, y tienes la cantidad total de bolígrafos);
y + 3 = 3(x + 1) (agrega tres bolígrafos al total, y asigna un bolígrafo más a cada alumno, y no hay sobrante).
9)
Puedes designar: x, y, z a las notas, en orden.
(x + y + z)/3 = 8,50 (el promedio de las tres notas es 8,5);
(x + y)/2 = 8 (el promedio de las dos primeras notas es 8);
(y + z)/2 = 9 (el promedio de las dos últimas notas es 9).
Luego, haz el intento de continuar la tarea, y si te resulta necesario, no dudes en volver a consultar.
Espero haberte ayudado.
Buenos días, tengo una duda acerca de este ejercicio: (ax+b)/(x^2-x) ¿Qué deben valer "a" y "b" para que la función sea discontinua evitable? Muchas gracias, un saludo

puedes factorizar el denominador para expresarlo asi x.(x-1)
ahora bien, para que sea discontinua evitable, deberia haber un punto que no pertenezca al dominio, pero que al hacer el limite, ese valor que no esta en el dominio te de un valor finito,
en otras palabras, deberias de poder simplificar algo del numerador con el denominador
entonces ax+b deberias de simplificarlo con x o con x-1
asi que a y b pueden ser a=1 y b=0 ---> x/(x2-x)
o sino a=1 y b=-1 -----> (x-1)/(x2-x)