
Vamos por partes:
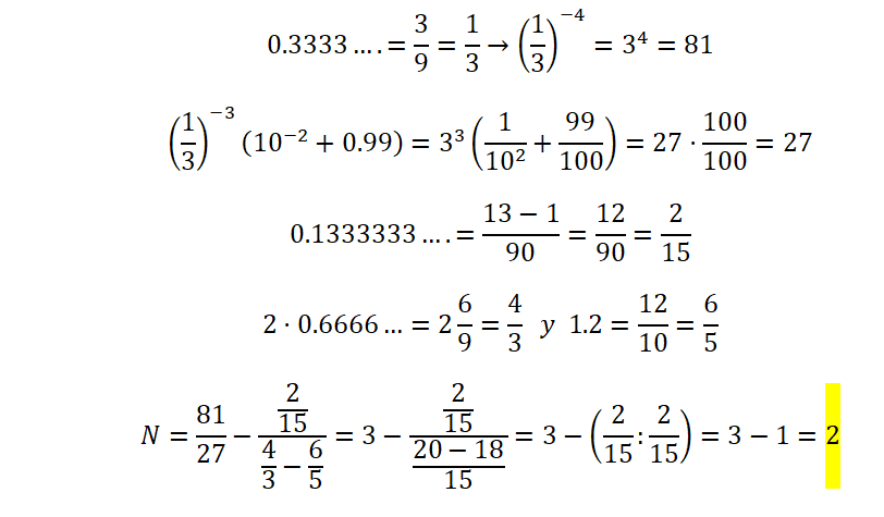
a) 0,333... = (3-0)/9) = 3/9 = 1/3, y luego: (1/3)-4 = (3/1)4= 81.
b) (1/3)-3 = (3/1)3= 27.
c) 10-2 + 0,99 = (1/10)2 + 99/100 = 1/100 + 99/100 = 100/100 = 1.
Luego, el primer término queda:
(0,333...)-4 / ( (1/3)-3 * (10-2 + 0,99) ) = 81 / (27*1) = 81/27 = 3.
d) 0,1333... = (13-1)/90 = 12/90 = 2/15.
e) 2*(0,6...) - 1,2 = 2*(6/9) - 12/10 = 2*(2/3) - 6/5 = 4/3 - 6/5 = 2/15.
Luego, el segundo término queda:
(0,1333...) / ( 2*(0,6...) - 1,2 ) = (2/15) / (2/15) = 1.
Luego, tienes la expresión de tu enunciado:
(0,333...)-4 / ( (1/3)-3 * (10-2 + 0,99) ) - (0,1333...) / ( 2*(0,6...) - 1,2 ) = reemplazas = 3 - 1 = 2.
Espero haberte ayudado.
buenas. alguien que me ayude con esto..por favor y con algo de explicación ya que no conozco del tema.

¡Hola! Nos encantaría ayudarte, pero no solemos responder dudas universitarias que no tengan que ver específicamente con los vídeos que David Calle ha grabado como excepción. O de otras asignaturas que no sean Matemáticas, Física y Química. Lo sentimos de corazón… Esperamos que lo entiendas.
Ojalá algún unicoo universitario se anime a ayudarte (de hecho, lo ideal es que todos los universitarios intentarais ayudaros los unos a los otros).
buenas quien me saca la duda de este ejercicio (x^3 -1)/x necesito sacar su punto de inflexión en el cual me trabo al ultimo ! eh igual si pueden decirme que tipo de discontinuad es se lo agradeciere ! para no hacer confusiones es : x al cubo menos 1 sobre x ! el tema es estudio completo de funciones . muchas gracias

Tienes la expresión de la función, cuyo dominio es: D = R - {0} = (-∞,0) ∪ (0,+∞):
f(x) = (x3-1)/x = distribuyes = x3/x - 1/x = simplficas en el primer término = x2 - 1/x.
Luego, plantea la expresión de su derivada primera:
f ' (x) = 2x + 1/x2,
y observa que está definida en todo el dominio de la función.
Luego, plantea la expresión de su función derivada segunda:
f ' ' (x) = 2 - 2/x3,
y observa que está definida en todo el dominio de la función.
Luego, plantea los límites que sugiere la colega Candela:
Lím(x→-∞) f(x) = Lím(x→-∞) (x2 - 1/x) = +∞ (observa que el primer término tiende a +∞, y que el segundo término tiende a 0),
luego, tienes que la función no presenta asíntota horizontal por izquierda;
Lím(x→+∞) f(x) = Lím(x→+∞) (x2 - 1/x) = +∞ (observa que el primer término tiende a +∞, y que el segundo término tiende a 0),
luego, tienes que la función no presenta asíntota horizontal por derecha.
Luego, plantea los límites laterales para x tendiendo a 0 (que es la "interrupción" en el dominio):
Lím(x→0-) f(x) = Lím(x→0-) (x2 - 1/x) = +∞ (observa que el primer término tiende a 0, y que el segundo término tiende a +∞),
luego, tienes que la función presenta asíntota vertical superior por izquierda, cuya ecuación es: x = 0;
Lím(x→0-+) f(x) = Lím(x→0+) (x2 - 1/x) = -∞ (observa que el primer término tiende a 0, y que el segundo término tiende a -∞),
luego, tienes que la función presenta asíntota vertical inferior por derecha, cuya ecuación es: x = 0.
Para los posibles puntos de inflexión, plantea:
f ' ' (x) = 0, sustituyes en el primer miembro, y queda:
2 - 2/x3 = 0, haces pasaje de término, y queda:
2 = 2/x3, haces pasaje de divisor como factor, y queda:
2x3 = 2, haces pasaje de factor como divisor, y queda:
x3 = 1, haces pasaje de potencia como raíz, y queda:
x = 1, que pertenece al dominio de la función, por lo que tienes un posible punto de inflexión.
Luego, para estudiar la concavidad de la función, subdivides al dominio en subintervalos limitados por el punto de inflexión y por el punto de discontinuidad, luego eliges
para cada uno de ellos un representante para evaluar la expresión de la derivada segunda:
(-∞,0), representado por: x = -1, y para él tienes: f ' ' (-1) = 2 - 2/(-1)3 = 4 > 0, por lo que tienes que la función es cóncava hacia arriba en este subintervalo;
(0,1), representado por: x = 1/2, y para él tienes: f ' ' (1/2) = 2 - 2/(1/2)3 = -14 < 0, por lo que tienes que la función es cóncava hacia abajo en este subintervalo;
(1,+∞), representado por: x = 2, y para él tienes: f ' ' (2) = 2 - 2/23 = 7/4 > 0, por lo que tienes que la función es cóncava hacia arriba en este subintervalo;
luego, observa que los cambios de concavidad se producen en:
x = 0 (la función pasa de cóncava hacia arriba a cóncava hacia abajo), pero 0 no pertenece al dominio de la función, por lo que no es un punto de inflexión,
x = 1 (la función pasa de cóncava hacia abajo a cóncava hacia arriba), pero 1 si pertenece al dominio de la función, por lo que si es un punto de inflexión.
Espero haberte ayudado.
Buenas. En unos días tengo examen de derivadas y me gustaría saber algo . ¿Cuando es recomendable derivar aplicando logaritmos , derivar implícitamente o simplemente utilizar las reglas de derivación ? En qué casos me es más fácil aplicar cada tipo de derivación

Si la función que tienes que derivar es complicada, pero se presta al cálculo logarítmico (producto, cociente, potencia, raíz), aplicas derivación logarítmica:
y=F(x)
ln Y =ln F(x)
Y luego, implícita:
(1/y)y'=(ln F(x))'
En general, la implícita hay que utilizarla siempre que la variable "y" esté sin despejar (o sea, implícita).