Hola, ¿alguien sabe como resolver este ejercicio?
Que fuerza requiere una partícula de masa m para tener una posicion r(t)= (t^3+t^2+t^3?
Gracias.
hola buenas tardes, tengo una duda que me esta matando y no logro comprenderla, se que se sale del contenido de unicoos pero quizás alguien se anime a darme una mano, no logro entender porque en la ecuación del plano tangente a la función en un punto, el vector normal del plano son las derivadas parciales evaluadas en el punto, no me queda claro ,porque para mi todas las rectas que son tangente al punto deberían pertenecer al plano
una explicacion geometrica seria esta:
imagina que tienes una funcion z=f(x,y), y queremos saber un vector normal en punto "P"= (xo,yo,zo). Cortas esta superficie con el plano y=yo, Este corte dara a lugar a una curva en ese plano, z=f(x,yo). en esta curva la variable "y" obviamente no cambia, pero tienes que la pendiente de esta curva seria ∂f/∂x (esta derivada y las demas estan evaluadas en el punto P), y tienes una recta tangente. Entonces, el vector tangente a esta curva es (1,∂f/∂x), lo que si ponemos en 3 direcciones es (1,0,∂f/∂x).
Luego hacemos lo mismo con un plano x=xo. Eso nos lleva al vector tangente (0,1,∂f/∂y).
Estos vectores pertenecen al plano tangente a la funcion, por lo cual si haces el producto cruz entre ambos te saldra un vector normal al plano tangente:
(1,0,∂f/∂x) X (0,1,∂f/∂y) = (-∂f/∂x, -∂f/∂y, 1)
Y este seria el vector normal en el punto P
============
Otra forma de verlo es por la propiedad de que el gradiente de una funcion es perpendicular a su curva de nivel; por ejemplo una funcion F(x,y,z) = z - f(x,y), Su curva de nivel en F(x,y,z)=0 es f(x,y)=z (que es la superficie de la cual queremos hallar un vector normal). El gradiente de esta funcion F(x,y,z), seria perpendicular a una curva de nivel de esta (en este caso, F=0) y es:
(∂F/∂x,∂F/∂y,∂F/∂z)
que aplicandolo a la funcion F(x,y,z) = z - f(x,y) seria:
(-∂f/∂x, -∂f/∂y, 1)
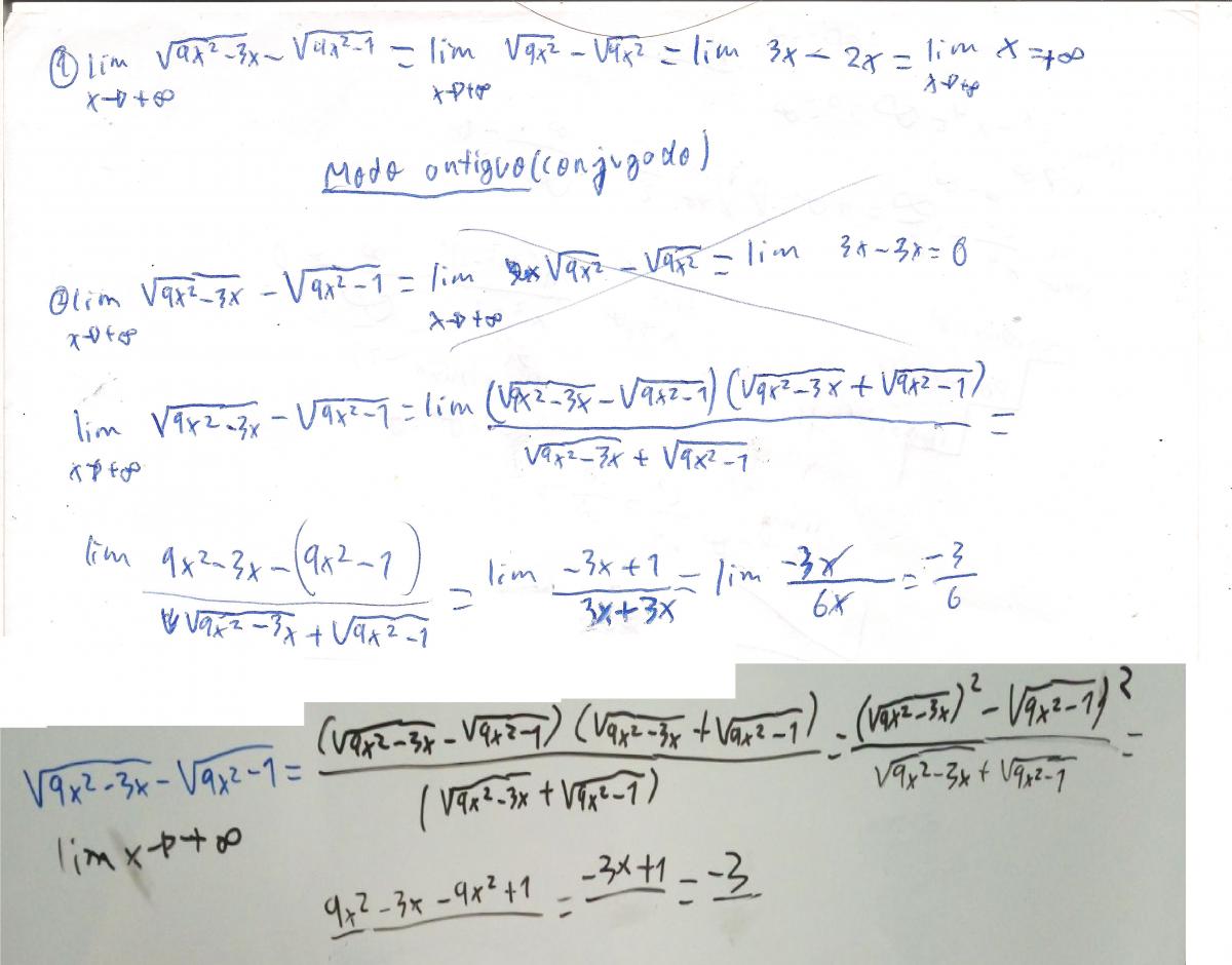
Como se resuelve este conjugado? lo de arriba son los apuntes de clase, pero no se como se saca 3x+3x, resultado de 6x.

Límite infinito menos infinito 01
Límite infinito menos infinito con raiz cubica
Límite infinito entre infinito 02Tal vez uno de estos videos te ayude aentenderlo mejor
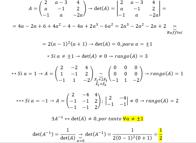
Buenas me pueden ayudar a hallar el rango que es el apartado g) de este ejercicio ? Lo he intentado por Gauss pero llego a un paso que me dan ecuaciones y no se que hacer para seguir haciendo ceros. Para el apartado h) tengo que igualar los resultados a 0 ?? Gracias !!
