Hola, se pueden calcular las componentes de un vector a partir de su origen y de su módulo. En el origen el punto A (-1,1) y de módulo 5

Puedes plantear las coordenadas del punto extremo: P(x,y).
Luego, planteas la expresión del vector:
u = AP = < x-(-1) , y-1 > = < x+1 , y-1 >.
Luego, plantea la expresión de su módulo:
|u| = √( (x+1)2 + (y-1)2 ).
Luego, plantea la ecuación que tienes en tu enunciado:
|u| = 5,
sustituyes en el primer miembro, y queda:
√( (x+1)2 + (y-1)2 ) = 5,
haces pasaje de raíz como potencia, y queda:
(x+1)2 + (y-1)2 = 25,
que es la ecuación cartesiana canónica de una circunferencia, con centro en el punto A(-1,1) y radio R = 5,
por lo que puedes concluir que tienes infinitos vectores que cumplen las condiciones del enunciado,
y que para cada uno de ellos, tienes origen en el punto A, y extremo en un punto perteneciente a la circunferencia.
Por ejemplo:
el punto P1(4,1) pertenece a la circunferencia, y es extremo del vector: u1 = < 4+1 , 1-1 > = < 5 , 0 >.
Por ejemplo:
el punto P2(-4,5) pertenece a la circunferencia, y es extremo del vector u2 = < -4+1 , 5-1 > = < -3 , 4 >.
Y en forma similar puedes plantear las componentes de un vector, con origen en el punto A y extremos en un punto de la circunferencia.
Espero haberte ayudado.
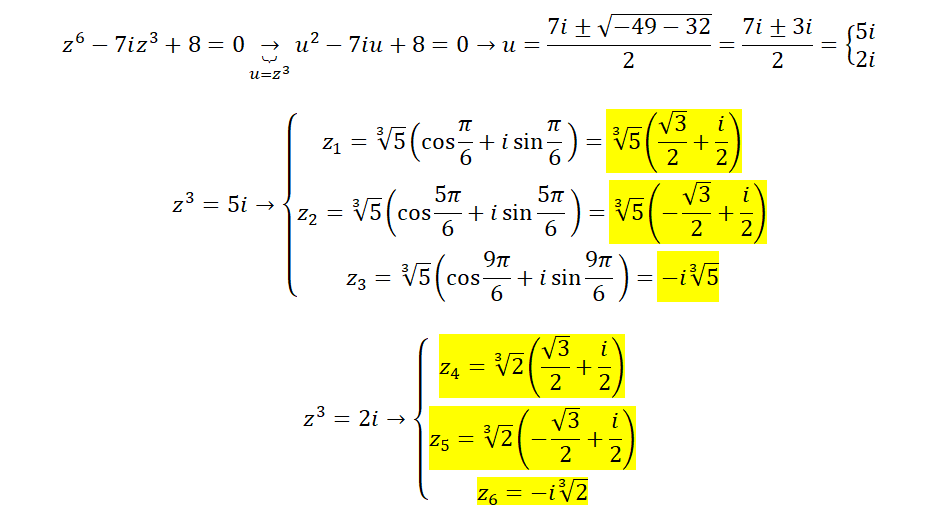
Como resuelvo esta ecuacion de numeros complejos:
z^6- 7i. z^3 + 8 = 0 . (Ayuda sustituir w=z^3)
Gracias

Tienes la ecuación (observa que es de grado seis, por lo que tiene seis raíces de acuerdo con el Teorema Fundamental):
z6 - 7i*z3 + 8 = 0, expresas al primer término como un cuadrado, y queda:
(z3)2 - 7i*z3 + 8 = 0,
aplicas la sustitución que te sugieren en tu enunciado, y queda:
w2 - 7i*w + 8 = 0,
que es una ecuación polinómica cuadrática con coeficientes compejos (recuerda que la Fórmula de Baskara es aplicable en este tipo de ecuaciones),
por lo tanto tienes dos opciones (observa que las expresamos en forma polar):
a)
w = ( 7i - 9i )/2 = -2i/2 = -i = 1270°;
b)
w = ( 7i + 9i)/2 = 16i/2 = 8i = 890°.
Luego, sustituyes en la ecuación que te sugieren en tu enunciado, y tienes:
a)
z3 = 1270°,, haces pasaje de potencia como raíz, y queda:
z = ∛(1270°), aplicas la fórmula de De Moivre para las raíces y queda la expresión general:
zk = ∛(1)(270°+360°*k)/3, con k = 0, 1, 2;
resuelves la expresión del módulo, distribuyes el denominador en el argumento, y queda:
zk = 1270°+120°*k, con k = 0, 1, 2;
luego, reemplazas valores, y queda:
z0 = 190°
z1 = 1210°
z2 = 1330°;
b)
Z3 = 890°,, haces pasaje de potencia como raíz, y queda:
Z = ∛(890°), aplicas la fórmula de De Moivre para las raíces y queda la expresión general:
Zt = ∛(8)(90°+360°*t)/3, con t = 0, 1, 2;
resuelves la expresión del módulo, distribuyes el denominador en el argumento, y queda:
Zt = 230°+120°*t, con t = 0, 1, 2;
luego, reemplazas valores, y queda:
Z0 = 230°
Z1 = 2150°
Z3 = 2270°.
Espero haberte ayudado.
Por favor me podéis ayudar con la inecuación:
x(xΛ2+3) menor que 0
Gracias
Observa que x2+3 siempre será positivo sea cual sea el número real por el que se sustituya x, entonces:
x*(x2+3)<0 -------> x*(+) < 0 -------> "x cumplirá la inecuación siempre que x sea negativa" , porque si es positiva + por + es más o si es cero es igual a cero
Por lo tanto si x*(x2+3)<0 , x<0
Alguien sería tan amable de ayudarme a resolver ese ejercicio? no pido las respuestas, solo una guía de como poder hacerlos :/ lo intenté de mil maneras y no me sale. Muchas gracias

Recuerda:
f ' (x) es positiva ↔ su gráfica se encuentra "por encima" del eje OX ↔ f(x) es creciente, y ésto ocurre en el intervalo: (1,5);
f ' (x) es negativa ↔ su gráfica se encuentra "por debajo" del eje OX ↔ f(x) es decreciente, y ésto ocurre en el intervalo: (0,1) ∪ (5,6);
f(x) presenta mínimo local en x = 1 (observa que pasa de decreciente a creciente en este punto),
f(x) presenta máximo local en x = 5 (observa que pasa de creciente a decreciente en este punto);
f ' (x) es creciente ↔ f(x) es cóncava hacia arriba, y ésto ocurre en el intervalo (0,3);
f ' (x) es decreciente ↔ f(x) es cóncava hacia abajo, y ésto ocurre en el intervalo (3,6);
f(x) presenta inflexión en x = 3 (observa que pasa de cóncava hacia arriba a cóncava hacia abajo en este punto).
Espero haberte ayudado.

c)
Observa que el sistema es homogéneo, por lo que seguro es compatible.
Luego, plantea la matriz ampliada del sistema:
1 3 -2 0
1 -1 3 0
2 2 1 0
A la segunda fila le restas la primera fila, a la tercera fila le restas el doble de la primera fila, y queda:
1 3 -2 0
0 -4 5 0
0 -4 5 0
A la tercera fila le restas la segunda fila, y queda:
1 3 -2 0
0 -4 5 0
0 0 0 0
Luego, tienes la matriz escalonada equivalente por filas, y observa que tiene dos filas no nulas,
por lo que tienes que el sistema es compatible indeterminado y admite infinitas soluciones.
Luego, a la primera fila le sumas tres cuartas partes de la segunda fila, y queda:
1 0 7/4 0
0 -4 5 0
0 0 0 0
A la segunda fila la multiplicas por -1/4, y queda:
1 0 7/4 0
0 1 -5/4 0
0 0 0 0
Luego, cancelas la fila nula, y planteas el sistema de ecuaciones equivalente:
x + (7/4)z = 0, aquí haces pasaje de término, y queda: x = -(7/4)z
y - (5/4)z = 0, aquí haces pasaje de término, y queda: y = (5/4)z;
luego, las infinitas soluciones del sistema quedan expresadas con las ecuaciones cartesianas paramétricas:
x = -(7/4)z
y = (5/4)z
z ∈ R.
Espero haberte ayudado.
Hola Saludo a todos!!
Alguien me podría ayudar con este ejercicio
Un cartel rectangular de cartón debe tener 150 pulgadas² para material impreso, márgenes de 3 pulgadas arriba y abajo, y 2 pulgadas a cada lado. Encuentre las dimensiones del cartel de manera que la cantidad de cartón que se use sea mínima[Sugerencias encuentre primero los valores de x y y]
Hemos estado viendo Derivadas pero no sé... La solución y no sé si se le puede aplicar... De ante mano muchas gracias.
¿Cómo se haría este ejercicio? La cantidad de espectadores de un programa de televisión creció un 23% en noviembre, pero se redujo el 18% en diciembre. Si al final de diciembre tiene 2202000 espectadores, ¿cuántos tenía en octubre?
Muchas gracias.