Foro de preguntas y respuestas de Matemáticas

logo beUnicoos
Los foros de unicoos se han unificado en nuestra nueva plataforma beUnicoos. Para dejar nuevas preguntas deberás hacerlo allí, donde además podrás encontrar nuevas asignaturas y herramientas para ayudarte más con tus estudios.

  • icon

    Valeria Alexandra Soto Mendoza
    el 10/10/17
    flag


    replythumb_up0 voto/sflag
    icon

    Ángel
    el 10/10/17

    Manda tu intento de solución y te ayudamos.

    Para que te sirvan de algo todos los ejercicios que mandaste, se resumen en un proceso general muy simple:

    1.  Poner todo en función de seno y coseno

    Para ello ten en cuenta que senx=senx, cosx=cosx, tgx= senx/cosx, 1/senx= cscx, 1/cosx= secx, 1/tgx= ctgx

    2. Comprueba si hay algún sen2x+cos2x , tienes que reemplazarlo por el número 1;  porque sen2x+cos2x=1  (aunque no se dio el caso, en otros ejercicios similares puedes encontrarte con que necesites saber alguna de las otras razones trigonométricas)

    3. Elimina términos comunes de numeradores y denominadores.

    4. Relaciona tus resultados provisionales con el apartado 1.

    5. Resuelto.


    thumb_up0 voto/sflag
  • icon

    Valeria Alexandra Soto Mendoza
    el 10/10/17

    ayuda :) 

    replythumb_up0 voto/sflag
    icon

    Ángel
    el 10/10/17

    Os digo como se hace porque el ejercicio es algo diferente...pero tienes que intentar hacerlos tú y hacer  tareas que no sean siempre idénticas porque os autoengañais.

    Dicho esto, cada uno es libre de aprobar o suspender :D

    senx+cosx= 1/3

    (senx+cosx)2= (1/3)2

    sen2x+cos2x+2senxcosx= 1/9

    1 +2senxcosx= 1/9

    2senxcosx= 1/9 - 1

    2senxcosx= -8/9

    senxcosx= -8/18

    senxcosx= -4/9


    thumb_up0 voto/sflag
  • icon

    Valeria Alexandra Soto Mendoza
    el 10/10/17
    flag

    YA SABES X2 xd 

    replythumb_up0 voto/sflag
    icon

    Desencadenado
    el 10/10/17
    flag


    thumb_up0 voto/sflag
  • icon

    Valeria Alexandra Soto Mendoza
    el 10/10/17
    flag


    replythumb_up0 voto/sflag
    icon

    Desencadenado
    el 10/10/17


    thumb_up0 voto/sflag
  • icon

    Valeria Alexandra Soto Mendoza
    el 10/10/17


    replythumb_up0 voto/sflag
    icon

    Desencadenado
    el 10/10/17


    thumb_up0 voto/sflag
  • icon

    Valeria Alexandra Soto Mendoza
    el 10/10/17
    flag


    replythumb_up0 voto/sflag
    icon

    Desencadenado
    el 10/10/17


    thumb_up0 voto/sflag
  • icon

    Valeria Alexandra Soto Mendoza
    el 10/10/17


    replythumb_up0 voto/sflag
    icon

    Desencadenado
    el 10/10/17


    thumb_up0 voto/sflag
  • icon

    Valeria Alexandra Soto Mendoza
    el 10/10/17


    replythumb_up0 voto/sflag
    icon

    Desencadenado
    el 10/10/17


    thumb_up0 voto/sflag
  • icon

    Valeria Alexandra Soto Mendoza
    el 10/10/17
    flag

    YA SABES  XD 

    replythumb_up0 voto/sflag
    icon

    Desencadenado
    el 10/10/17


    thumb_up0 voto/sflag
  • icon

    Froylan
    el 10/10/17

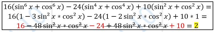
    Pueden verifcar este problema



    replythumb_up0 voto/sflag
    icon

    Desencadenado
    el 10/10/17

    Terminalo en 4A+2B+C

    thumb_up0 voto/sflag
    icon

    Antonio Silvio Palmitano
    el 10/10/17

    El resultado final es: 4a + 2b + c.

    Observa que tienes términos que no son semejantes, por lo que es una expresión que no se puede reducir, por lo que debes eliminar en tu desarrollo la última igualdad y el último miembro.

    Espero haberte ayudado.

    thumb_up0 voto/sflag