Hola buenas noches, me gustaría que me ayudaran con este problema. He intentado resolverlo pero la respuesta que me da no me parece lógica.
Las respuestas que me han salido han sido: x=3000 y=6.600 z=-600
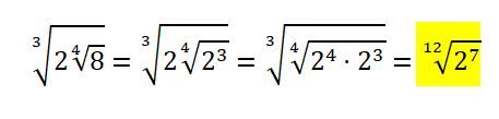
¡Hola! ¿Cómo se calcularía el siguiente determinante de dimensión 4x4 con las propiedades de los determinantes?:
¡Muchas gracias!
Hola, me podéis ayudar?
Si dos vectores u y v diferentes de 0 son ortogonales, entonces son independientes, porqué?

Tienes dos vectores no nulos que son ortogonales, por lo tanto tienes que su producto escalar es igual a cero:
u • v = 0 (1).
Luego, plantea el supuesto absurdo:
"los vectores u y v son dependientes", por lo que tienes que existe k ∈ R, k ≠ 0, tal que: v = k*u (2).
Luego, plantea el producto escalar del vector v por si mismo:
a)
v • v = |v|*|v|*cos(0) = |v|2*1 = |v|2, que es distinto de cero, porque v es un vector no nulo (A).
b)
v • v = reemplazas la expresión señalada (2) en el primer factor, y queda:
= k * u • v = aplicas la propiedad asociativa en los dos últimos factores, y queda:
= k * (u • v) = reemplazas el valor señalado (1) en el segundo factor, y queda:
= k * 0 = 0 (B).
Luego, tienes que los resultados señalados (A) (B) son contradictorios,
por lo que se confirma que el supuesto es absurdo, y concluyes que los vectores son linealmente independientes.
Espero haberte ayudado.