
Puedes designar como A(a,0) al punto perteneciente al eje OX que pertenece a las dos rectas.
Luego, reemplazas sus coordenadas en las ecuaciones de las rectas, y quedan:
2*m*0 + a = 4
m*a - 0 = 3.
Luego, cancelas el término nulo en la primera ecuación,y tienes: a = 4, por lo que las coordenadas del punto de intersección quedan: A(4,0).
Luego, reemplazas el valor remarcado y cancelas el término nulo en la segunda ecuación, y queda:
m*4 = 3, haces pasaje de factor como divisor y queda: m = 3/4.
Espero haberte ayudado.

¡Hola! Nos encantaría ayudarte, pero no solemos responder dudas universitarias que no tengan que ver específicamente con los vídeos que David Calle ha grabado como excepción. O de otras asignaturas que no sean Matemáticas, Física y Química. Lo sentimos de corazón… Esperamos que lo entiendas.
Ojalá algún unicoo universitario se anime a ayudarte (de hecho, lo ideal es que todos los universitarios intentarais ayudaros los unos a los otros).
Buenas tardes me ayudan con este ejercicio por favor?
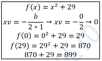
f(x) = x^2 +29
si Domf esta definido por -29 <x<29
y Recf esta dado por a<x<b cuanto es a+b

el Dom:(-29;29) eso nos dice que el valor máximo donde llega la imagen y sacando el vértice de x e y obtenemos el comienzo de la gráfica. a<x<b->29<x<870 29+870= 899
Espero lo entiendas
Saludos!!!