una duda rapida
en derivadas parciales que significa Uxx , siendo U una funcion, se que Ux es la derivada parcial de U con respecto a X, pero la otra no sem alguien podria aclararme
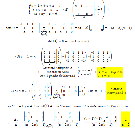
alguien me puede ayudar con esto?:
A)Halla y simplifica las ecuaciones matriciales de transformación de las siguientes sucesiones de movimientos:
a) Un giro de amplitud -30º respecto al origen de coordenadas, seguida de una hemotecia de k=2, respecto al eje OX, y a continuación una traslación de vector guía v= (-1,3)
b) Un giro de 90º y una simetría respecto al eje OX.
c) Aplica ambos movimientos al punto P(raiz(3) , 1)
B) Una ciudad tiene una gran estación de metro central O y tres terminales A, B y C en barrios extremos. Entre la central y las terminales hay líneas de ida y vuelta. Entre las terminales hay dos lineas con un solo sentido de circulación: de A a B y de B a C. Halla las matrices de circulación para: a) ir de una estación a otra tomando un solo tren; b) ir de una estación a otra cambiando de tren una sola vez; c) ir de una estacion a otra tomando uno o dos trenes

Me encantaría ayudarte, pero no respondo dudas universitarias que no tengan que ver específicamente con los videos que ya he grabado como excepcion. O de otras asignaturas que no sean matemáticas, física y química. Lo siento de corazón… Espero lo entiendas
Ojalá algun unicoo universitario se anime a ayudarte (de hecho lo ideal es que todos los universitarios intentarais ayudaros los unos a los otros)
Hola, ¿alguien podria resolverlos para que viera la forma de resolverlo?.No se muy bien como hacerlos y seria de mucha ayuda ver como los resuelve alguien, gracias.
me podéis resolver la duda de la siguiente pregunta ??
- ¿La covarianza y la varianza tiene que tener siempre el mismo signo ?
No tiene porque tenemos la relación
covx,y=pendiente *Vx
, siendo covx,y la covarianza, Vx la varianza y pendiente la pendiente de la recta de regresión de Y sobre X.
Por ejemplo si la pendiente y la varianza son negativas, obtendremos una covarianza positiva (porque menos por menos es más)