Foro de preguntas y respuestas de Matemáticas

logo beUnicoos
Los foros de unicoos se han unificado en nuestra nueva plataforma beUnicoos. Para dejar nuevas preguntas deberás hacerlo allí, donde además podrás encontrar nuevas asignaturas y herramientas para ayudarte más con tus estudios.

  • icon

    lbp_14
    el 8/10/17

    Hola Unicoos, me dicen como se resuelve la IND K^∞ porque no entiendo eso de:  +∞ si k>1  y  0 si 0≤k<1 que es eso? 

    Y aquí os pongo el ejemplo que no se hacer porque no entiendo lo que os he puesto 

    Muchas gracias


    replythumb_up0 voto/sflag
    icon

    Ángel
    el 8/10/17

    Al obtener esa indeterminación haces límites laterales (cuando 2 tiende a x por la izquierda y por la derecha)

    lim(x→2-) f(x) = 0

    lim(x→2+) f(x) = infinito


    No coinciden, entonces no tiene límite.

    ES DIVERGENTE.

    thumb_up2 voto/sflag
    icon

    lbp_14
    el 8/10/17

    Sigo sin pillarlo, hago limites laterales que por ejemplo por la izda del 2 es el 1 y por la dcha el 3 y qué hago?

    Muchas gracias jejej 

    thumb_up0 voto/sflag
    icon

    Ángel
    el 8/10/17

    Lo mismo...decir que no tiene límite :D

    Pues el límite es únicoo: no puede tender a dos números distintos cuando se acerca a "c" 

    En tu ejemplo c=2

    http://matematicatuya.com/limite/No-tiene-limite.html

    thumb_up0 voto/sflag
    icon

    Desencadenado
    el 8/10/17

    Aunque el limite no existe como dice Ángel

    thumb_up0 voto/sflag
    icon

    lbp_14
    el 9/10/17

    Lo que no entiendo y quiero que me expliquéis es esto:  +∞ si k>1  y  0 si 0≤k<1 ya sé que el límite no existe, y no consigo llegar a la solución que tengo apuntada en rojo en la imagen principal.

    Muchas gracias de nuevo

    thumb_up0 voto/sflag
  • icon

    German
    el 8/10/17


    Hola, por favor ¿me ayudan con esta integral?

    En el apunte indica el siguiente resultado:

    -1/6. ln|x-1| +1/6. ln |x-7|+ C 

    Pero a mi me dio:

    1/6. ln|x-1| -1/6. ln |x-7|+ C 

    La diferencia es que en el apunte ordena las raíces al revés que yo en la resolución mediante fracciones simples y por eso me quedan al revés los signos. Mi pregunta es : ¿Los dos resultados son válidos? 



    replythumb_up0 voto/sflag
    icon

    Ángel
    el 8/10/17

    Los dos no pueden ser válidos porque son diferentes valores en una misma solución. La respuesta de tus apuntes es casi correcta (excepto que ambos valores absolutos tienen denominador de valor 3.

    Quizá te hayas confundido en algún paréntesis...

    Se obtiene

    -1/6. ln|(x-1)/3| +1/6. ln |(x-7)/3|+ C 

    también se podría expresar así:

    -1/6.( ln|(x-1)/3| -  ln |(x-7)/3| ) + C

    o también: 

    1/6.( -ln|(x-1)/3| +  ln |(x-7)/3| ) + C


    https://es.symbolab.com/solver/step-by-step/%5Cint%20%5Cfrac%7B1%7D%7Bx%5E%7B2%7D-8x%2B7%7Ddx



    thumb_up1 voto/sflag
    icon

    German
    el 8/10/17

    Porque completa cuadrados ? Tengo entendido que eso se hace en los casos en que el pilinomio tenga raíces complejas.

    thumb_up0 voto/sflag
  • Usuario eliminado
    el 8/10/17

    Nos proponen un negocio que si invertimos 600, obtenemos 1000 después de tres dias. Calcula el incremento porcentual medio diario?

    replythumb_up0 voto/sflag
    icon

    David
    el 23/10/17

    600. x. x. x. = 1000..... x³=1000/600 = 10/6 = 5/3... El incremento porcentual es ³√(5/3) multiplicado por 100...

    thumb_up0 voto/sflag
  • icon

    Juan
    el 8/10/17

    ¿Cómo de encuentra la matriz cambio de base: de base canónica a base N?



    replythumb_up0 voto/sflag
    icon

    Antonius Benedictus
    el 8/10/17

    Imaginamos que sabes hallar matrices inversas.


    thumb_up0 voto/sflag
  • icon

    Hasmmersmith Catalina
    el 8/10/17

    Hola, al analizar una función, al final tenia que graficarla, pero no pude hacerlo. La función es Y= -x2+ 6x -5, el análisis que hice fue:

    Eje: X0= -6/(2.-1) = -3                    Y0= - (-3)2 + 6 . (-3) -5= -32                 Vértice= (-3; -32)                Dom(f)= R (números reales)         Im(f)= (-32 ; + ∞)                  Ramas abajo, se abren

    Ceros: (fórmula de Baskar)  x1,2= - 6 ± V 6-4 . -5. -1 / (2 . -1)= -6 ± 4/-2   ⇔   x1= -6+4/-2= 1  

                                                                                            ⇔   X2= -6-4/-2 = 5

    replythumb_up0 voto/sflag
    icon

    Ángel
    el 8/10/17


    thumb_up1 voto/sflag
    icon

    Ángel
    el 8/10/17

    thumb_up1 voto/sflag
    icon

    Hasmmersmith Catalina
    el 8/10/17

    Pero el vértice no esta en x= -3 ; y= -32

    thumb_up0 voto/sflag
    icon

    Hasmmersmith Catalina
    el 8/10/17

    ??

    thumb_up0 voto/sflag
    icon

    Hasmmersmith Catalina
    el 8/10/17

    Ah ya me di cuenta, muchas gracias por ayudarme! :)


    thumb_up0 voto/sflag
    icon

    Ángel
    el 8/10/17

    VÉRTICE

    -x2+6x-5= ax2+bx+c

    Tenemos que a= -1, b=6, c=-5

    Como a= -1>0 , entonces el vértice es un máximo (entonces las ramas son hacia abajo)

    Para sacar la coordenada en x del vértice utilizamos la fórmula x= -b/(2a)   ---------->  x= -6/(-2)= 3

    Para obtener el valor de y sustituimos x=3 en -x2+6x-5    ----------->   -(32)+(6*3)-5= y  -------->   y=4


    ENTONCES OBTENEMOS EL PUNTO (3,4)

    thumb_up2 voto/sflag
  • icon

    Alexia
    el 8/10/17

    Hola Unicoos, no se como representar x2 +2, ya que no tiene x, si me puedes ayudar, te lo agradeceria 
    Muchas gracias 


    replythumb_up0 voto/sflag
    icon

    César
    el 8/10/17


    thumb_up1 voto/sflag
  • icon

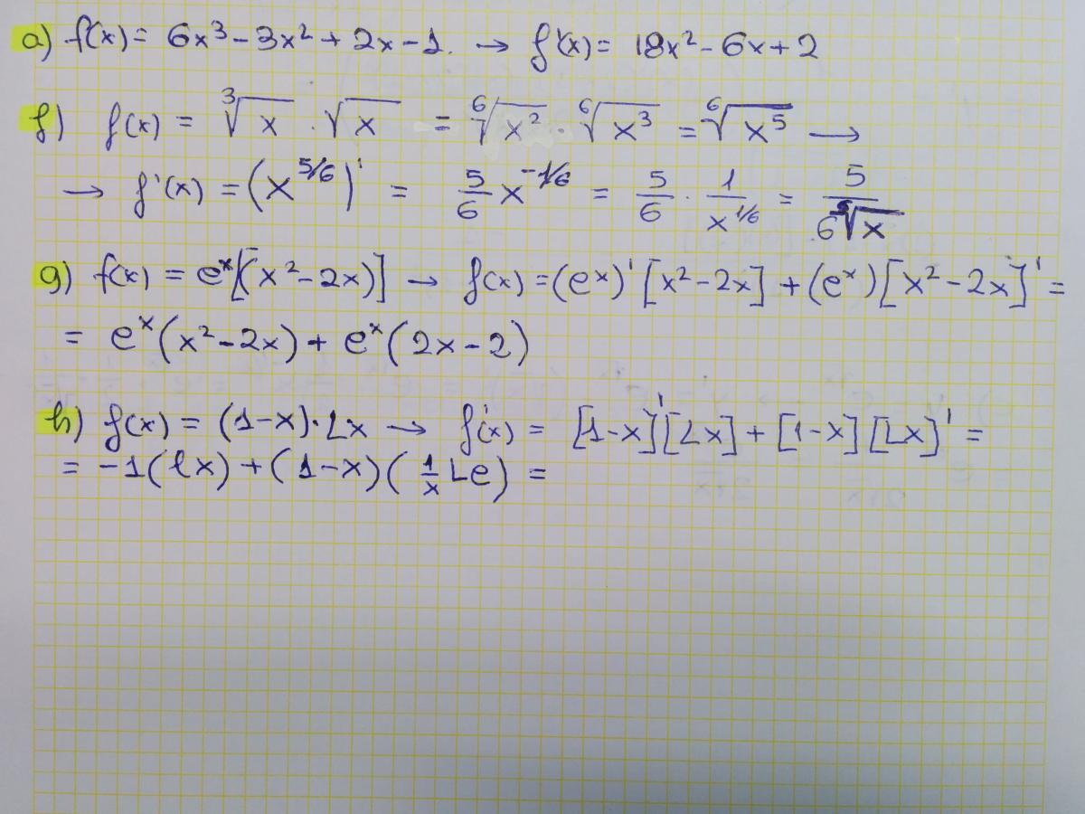
    lbp_14
    el 8/10/17

    Hola Unicoos, como ven estas derivadas, y me podrían ayudar con la última?

    Muchas gracias


    replythumb_up0 voto/sflag
    icon

    César
    el 8/10/17


    thumb_up1 voto/sflag
  • icon

    Mcarmen
    el 8/10/17
    flag

    Holaa unicoos haber si me podeis ayudar porfii.

    Calcule el capital equivalente dentro de 3 años y 3 meses a uno de 125000 euros actual, valorado en capitalización compuesta al 4,5000% anual.

    replythumb_up0 voto/sflag
    icon

    David
    el 23/10/17

    Lo siento MariCarmen pero matemáticas financieras se sale de nuestro campo... Espero lo entiendas.

    thumb_up0 voto/sflag
  • icon

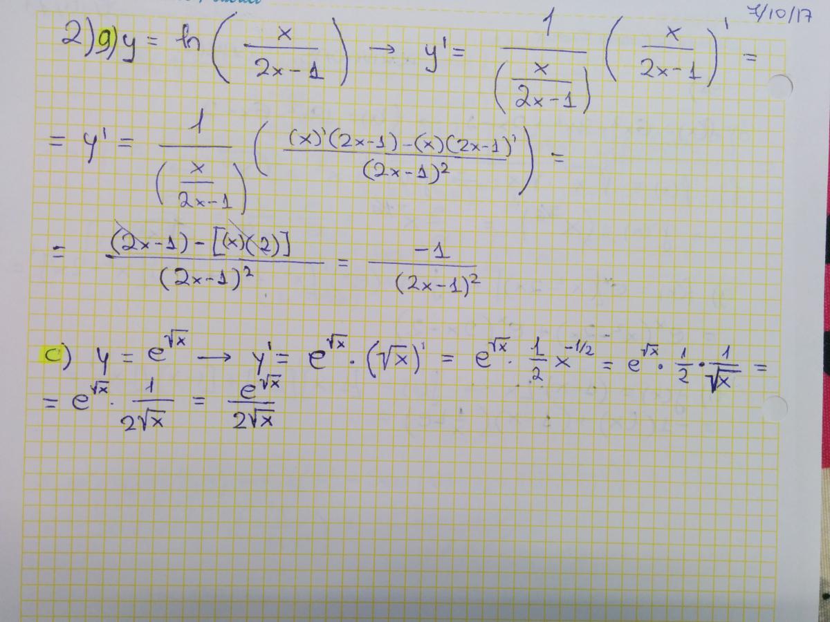
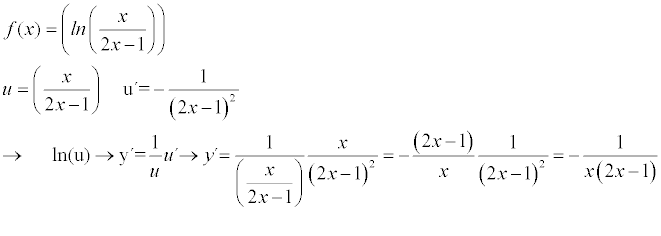
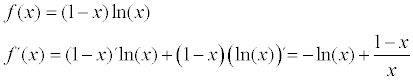
    lbp_14
    el 8/10/17

    Hola Unicoos como ven estas dos derivadas?

    Muchas gracias


    replythumb_up0 voto/sflag
    icon

    César
    el 8/10/17

    c correcta 


    thumb_up1 voto/sflag
  • icon

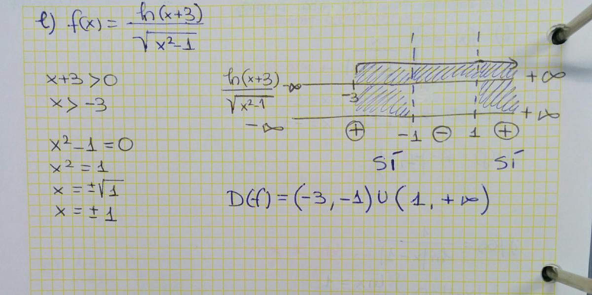
    lbp_14
    el 8/10/17

    Hola Unicoos, como ven este dominio. Muchas gracias


    replythumb_up0 voto/sflag
    icon

    César
    el 8/10/17

    Perfecto

    thumb_up1 voto/sflag