Hola¡¡ me podrian ayudar con esta identidad trigonometrica por favor
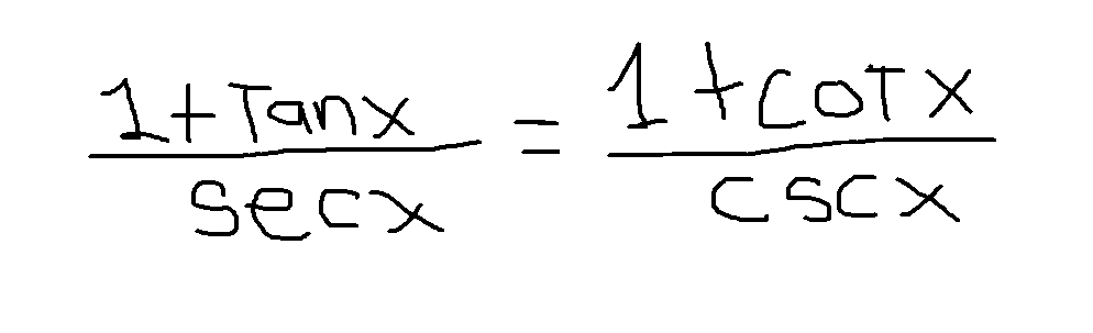
Parte izquierda=
[1+(senx/cosx)]÷(1/cosx)=
[(cosx/cosx)+(senx/cosx)]÷(1/cosx)=
[(cosx+senx)/cosx]÷(1/cosx)=
[cosx(cosx+senx)/cosx]=
cosx+senx
Parte derecha=
[1+(cosx/senx)]÷(1/senx)=
[(senx/senx)+(cosx/senx)]÷(1/senx)=
[(senx+cosx)/senx)]÷(1/senx)=
[senx(cosx+senx)/senx]=
cosx+senx

¡Hola! Nos encantaría ayudarte, pero no solemos responder dudas universitarias que no tengan que ver específicamente con los vídeos que David Calle ha grabado como excepción. O de otras asignaturas que no sean Matemáticas, Física y Química. Lo sentimos de corazón… Esperamos que lo entiendas.
Ojalá algún unicoo universitario se anime a ayudarte (de hecho, lo ideal es que todos los universitarios intentarais ayudaros los unos a los otros).
https://mathematicae.wordpress.com/2013/11/15/el-principio-arquimediano-y-sus-equivalencias/
Al final se pone de manifiesto que se cumple una cosa porque si no contradiría un resultado derivado del principio Arquimediano (que es siempre verdad) en caso de no cumplirse.

¡Hola! Nos encantaría ayudarte, pero no solemos responder dudas universitarias que no tengan que ver específicamente con los vídeos que David Calle ha grabado como excepción. O de otras asignaturas que no sean Matemáticas, Física y Química. Lo sentimos de corazón… Esperamos que lo entiendas.
Ojalá algún unicoo universitario se anime a ayudarte (de hecho, lo ideal es que todos los universitarios intentarais ayudaros los unos a los otros).
Tienes que usar regla de la cadena:
∂f/∂r = (∂f/∂x)*(∂x/∂r) + (∂f/∂y)*(∂y/∂r)
para ∂f/∂θ es lo mismo, solo reemplazas ∂r por ∂θ, luego elevar al cuadrado ambas expresiones. y dividir ∂f/∂θ por r^2...factorizando vas a llegar a : (∂f/∂x)^2 + (∂f/∂y)^2.
El otro ejercicio es similar