Foro de preguntas y respuestas de Matemáticas

logo beUnicoos
Los foros de unicoos se han unificado en nuestra nueva plataforma beUnicoos. Para dejar nuevas preguntas deberás hacerlo allí, donde además podrás encontrar nuevas asignaturas y herramientas para ayudarte más con tus estudios.

  • icon

    nohelia catalina fuentes cruz
    el 7/10/17

    HOLA 

    vera tengo una duda sobre espacios vectoriales 

    ¿un vector como por ejemplo (x,y,z,0) puede ser un supespacio vectorial de R3?

    ¿un vector como (x,y) puede ser un subespacio vectorial de R3?

    ¿dos o tres vectores (x,y) puede generar en R3?

    replythumb_up0 voto/sflag
    icon

    Antonius Benedictus
    el 7/10/17

    Un vector de cuatro coordenadas NO puede ser un subespacio de R^3.

    Las otras preguntas tampoco.


    thumb_up0 voto/sflag
    icon

    nohelia catalina fuentes cruz
    el 7/10/17

    entonces profe ningún vector que posea menos o mas componentes que las dimensiones del espacio puede ser un subespacio ?

    thumb_up0 voto/sflag
    icon

    Antonius Benedictus
    el 7/10/17

    Claro.

    Y además, un vector NO es un subespacio. Puede generar un subespacio.

    thumb_up1 voto/sflag
  • icon

    Antonella Correa
    el 7/10/17

    Hola! Como puedo resolver la derivada de ( sec x . log 5 x )? Utilizando la formula, no la definición

    replythumb_up0 voto/sflag
    icon

    Rafa Jiménez
    el 7/10/17

    Derivada de un producto o de un cociente ya que ese producto también es log x / cosx

    1/(x * ln5) * cos x - (-senx) * log x / (cosx)^2

    thumb_up0 voto/sflag
    icon

    Desencadenado
    el 7/10/17


    thumb_up0 voto/sflag
  • icon

    lbp_14
    el 7/10/17

    x^2 - ΙxΙ - 2 halla su dominio.

    Explicadmelo paso a paso porfavor que me cuestan los valores absolutos

    Muchas gracias

    replythumb_up0 voto/sflag
    icon

    Rafa Jiménez
    el 7/10/17

    Vemos primero donde se anula la función en valor absoluto ΙxΙ donde tenemos que si x es < 0 la función es -x y si es mayor igual que cero sería x: entonces tenemos 

    Si x < 0 -> x^2 - (-x) - 2 = x^2 + x -2 

    Si x mayor igual a cero -> x^2 - x - 2

    El dominio es todo R

    thumb_up0 voto/sflag
    icon

    Desencadenado
    el 7/10/17

    todos los reales por ser un polinomio, no tiene restricciones

    thumb_up1 voto/sflag
  • Usuario eliminado
    el 7/10/17
    flag


    hola Unicoos porfis me podrian recomendar material para estudiar nociones topologicas? necesito entender todo eso para el martes, he leido varios pdf pero eso parece estar en chino.. :S

    replythumb_up0 voto/sflag
    icon

    David
    el 23/10/17

    ¿de que curso? ¿en que país? ¿que has dado en clase?. Lo siento pero no podría ayudarte sin más información.

    thumb_up1 voto/sflag

    Usuario eliminado
    el 23/10/17

    Estudio Auditoria pero en mi malla curricular veo la materia de calculo de una variable donde abarca tema de limites, derivadas, aplicaciones de derivadas, integrales, aplicaciones de integrales, pero para todo esto vemos primero lo básico de la topo logia como son definiciones de:

    espacio métricos y sus elementos que es lo que no tengo muy claro:

    entorno, entorno no incluido, punto de acumulación o punto limite, punto aislado, conjunto cerrado, punto interior,conjunto abierto, punto de adherencia, conjunto d clausura, conjunto derivado, punto de frontera y convergencia de espacios métricos...

    todo eso me lo dieron en una sola clase, mi cabecita termino hecho un shampoo, se que el tema es muy extenso, pero solo necesito captar la el concepto de cada uno, solo eso. por fis... 

    thumb_up0 voto/sflag
  • Usuario eliminado
    el 7/10/17
    flag


    ¿Me podríais ayudar con estos ejercicios por favor? No sé por dónde empezar.

    1. Elegir de la tabla un sistema de reforma.

    2. Suponiendo que la factura  energética del edificio asciende a 132000€. Calcular el ahorro energético en € que se obtendría con el sistema elegido.

    3. La fachada mide 345m cuadrados. sistema de reforma 1, hallar el coste estimado sin subvenciones de arreglo en notación cientifica.

    4. Viendo el coste estimado con subvenciones, calcular el ahorro en tanto por ciento sobre el coste sin subvenciones con el sistema elegido en el primer ejercicio.

    replythumb_up0 voto/sflag
    icon

    David
    el 23/10/17

    Lo siento pero no entiendo tu duda.. .Lo siento...

    thumb_up1 voto/sflag
  • icon

    lbp_14
    el 7/10/17

    Hola Unicoos,

    La derivada de -cosx cual es? al tener el signo (-) dudo 

    Muchas gracias.

    replythumb_up0 voto/sflag
    icon

    Axel Morales Piñón.
    el 7/10/17

    f(x)=-cos(x)

    f'(x)=-(-sin(x))=sin(x)

    f'(x)=sin(x)

    thumb_up1 voto/sflag
    icon

    Desencadenado
    el 7/10/17

    La derivada del cos X = -sen X, pero al ser -cos X = sen X 

    thumb_up1 voto/sflag
  • icon

    Alvaro
    el 7/10/17

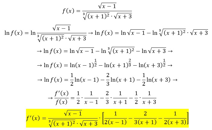
    Tengo que resolver esta derivada por utilizando logaritmos . La he hecho pero creo que no me da bien . Ayuda? 

    replythumb_up0 voto/sflag
    icon

    Axel Morales Piñón.
    el 7/10/17


    thumb_up0 voto/sflag
    icon

    Alvaro
    el 7/10/17

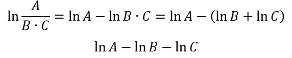
    Genial . Solo una duda . No se supone que si están multiplicando se convierte en una suma . Es decir , los dos primeros se restan pero el tercero no se sumaría?

    thumb_up0 voto/sflag
    icon

    Axel Morales Piñón.
    el 7/10/17


    thumb_up0 voto/sflag
  • icon

    Rafa Jiménez
    el 7/10/17

    Hola! Podéis echarme una mano con este problema?


    Si en un equipo de fútbol con 11 jugadores se reparten los dorsales al azar ¿cuál es la probabilidad de que al que juega de portero le toque el nº 1?


    Sería 1/11??


    Gracias

    replythumb_up0 voto/sflag
    icon

    Ángel
    el 7/10/17

    Sí.

    casos favorables ÷ casos posibles=     número1 ÷ (números del 1 al 11)  =   1/11

    thumb_up0 voto/sflag
  • icon

    dfghjkl
    el 7/10/17

    Hola tengo una duda con las cifras significativas. Mi profesor nos dice que arredondeemos siempre

    Por ejemplo, es este caso (26,14/3,38) + 4,2= 11,9337

    Al ser una suma, solo puede tener un decimal, y quedaría: 11,9. Mi duda está en por qué no acaba siendo un 12,0? Arredondeando ya que es ,9

    Otra duda que tengo en la operación (42,68 · 81) / (132,6 · 0,5247) = 49,688

    Al ser multiplicaciones mi resultado solo puede tener 2 cifras significativas, así que pondría 49 o 50 (ya que es ,6)?


    replythumb_up0 voto/sflag
    icon

    Ángel
    el 7/10/17

    Una suma puede tener infinitos decimales...según te diga el enunciado se hace así:

    11,9337   --------->  REDONDEADO a la milésima es 11,934

    11,9337   --------->  Redondeado a la centésima es 11,93

    11,9337   --------->  Redondeado a la décima es 11,9

    11,9337   --------->  Redondeado a la unidad es 12


    En tu segunda pregunta pondrías 50.

    thumb_up0 voto/sflag