Foro de preguntas y respuestas de Matemáticas

logo beUnicoos
Los foros de unicoos se han unificado en nuestra nueva plataforma beUnicoos. Para dejar nuevas preguntas deberás hacerlo allí, donde además podrás encontrar nuevas asignaturas y herramientas para ayudarte más con tus estudios.

  • icon

    Santi
    el 7/10/17

    Alguien puede ayudarme?


    replythumb_up0 voto/sflag
    icon

    Desencadenado
    el 7/10/17

    es la primera Santi; lo que hice fue reemplazar del punto (8;21) el 8 en la función, aquella que de 21 es la correcta.

    thumb_up1 voto/sflag
    icon

    Santi
    el 7/10/17

    Gracias no sabía que hacer :)))

    thumb_up0 voto/sflag
  • icon

    Marina Gómez
    el 7/10/17

    Hola!!!! 

    Podríais ayudarme con este problema??? (He probado de resolverlo varias veces y no doy con la solución) 

         Isabel, Marc y Laia han ganado un lote de discos compactos en un concurso de la rádio: 

         - Calcula de cuantos discos compactos consta el lote si: 3/5 de este son para Isabel, 5/12 del resto para Marc y para Laia son los 14 discos restantes.

         - ¿Cuántos discos compactos reciben Isabel y Marc? 


    Muchas graciaaaas!!!! 

    replythumb_up0 voto/sflag
    icon

    César
    el 7/10/17

    3/5   restan   2/5

    5/12(2/5)=2/12=1/6

    14

    x=3/5x +1/6x+14     x=60 


    thumb_up1 voto/sflag
  • icon

    Rafa Jiménez
    el 7/10/17

    Hola

    Podríais ayudarme con este problema: 

    Se tienen dos urnas

    Urna 1: 2 blancas y 3 negras; Urna 2: 4 blancas y 3 negras.

    Se extrae una bola al azar de la urna 1 sin ver el color en la urna 2 . Luego se extrae una bola de la urna 2 resultando de color negro. Hallar la probabilidad de que la primera bola extraida haya sido blanca.

    Gracias

    replythumb_up0 voto/sflag
    icon

    Antonius Benedictus
    el 7/10/17

  • icon

    MARC CORDERO JORDANA
    el 7/10/17

    buenas, tengo dudas en la ecuaciones trigonometricas; (en radianes)

    no se cuando se ha de añadir al resultado : +2kπ  +kπ  + kπ/2 ...

    por ejemplo:

    senx=1+2cos²x     resultado= π/2 + 2kπ

    sen²x=2cosx           resultado= π/4 + kπ/2

    sen2x=2cosx         resultado=  π/2 + kπ 


    como se que añadirle al resultado? gracias


    replythumb_up0 voto/sflag
    icon

    Antonius Benedictus
    el 7/10/17

    https://matematica.laguia2000.com/general/ecuaciones-trigonometricas

    thumb_up0 voto/sflag
    icon

    Rodrigo Ivan Saez
    el 8/10/17

    es facil recordarlo si tienes en mente la relacion entre el circulo unitario y las funciones trigonometricas

    thumb_up0 voto/sflag
  • icon

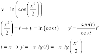
    Alvaro
    el 7/10/17

    Buenas , que tal el día. Sigo con las derivadas , y se me ha resistido esta . Creo que es fácil pero no me sale el resultado , tal vez porque se usan formulas trigonométricas para simplificar. Ejercicio 3

    replythumb_up0 voto/sflag
    icon

    César
    el 7/10/17


    thumb_up0 voto/sflag
  • icon

    manuel
    el 7/10/17
    flag

    K= 3


    me podrian ayudar con este problema

    replythumb_up0 voto/sflag
    icon

    Desencadenado
    el 7/10/17

    Cual problema???

    thumb_up0 voto/sflag
    icon

    manuel
    el 7/10/17

    No le aparece la imagen?


    thumb_up0 voto/sflag
    icon

    Desencadenado
    el 7/10/17

    no!


    thumb_up0 voto/sflag
    icon

    manuel
    el 7/10/17

    Sea f(x)= x-3 / (3- lx+6-1l)1/2


    Dom?

    rec?

    No me acuerdo de como cuales son los pasos para solucionar por trozos.

    thumb_up0 voto/sflag
    icon

    César
    el 7/10/17


    thumb_up0 voto/sflag
    icon

    Desencadenado
    el 7/10/17

    Espero haya copiado bien la funcion, intenta poner fotos la proxima ;) Saludos!!!


    thumb_up0 voto/sflag
  • icon

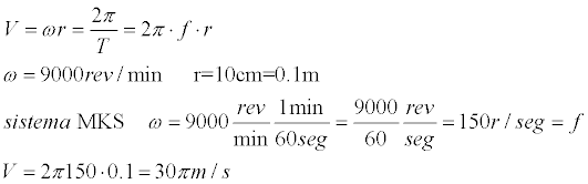
    GeoManuel Pinanjota
    el 7/10/17

    buenos dias una ayuda con este ejercicio

    un volante de 10cm de radio gira a una velocidad promedio de 900r/min. ¿ Qué tan rápido viaja el punto en el vorde en m/s?

    replythumb_up0 voto/sflag
    icon

    César
    el 7/10/17

    Al foro de fisica GeoManuel

    en el "borde"   

    thumb_up1 voto/sflag
  • icon

    Eva De Vega
    el 7/10/17

    Cual es el concepto de distribucion normal, de estadistica?

    replythumb_up0 voto/sflag
    icon

    Antonius Benedictus
    el 7/10/17


    thumb_up0 voto/sflag