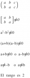
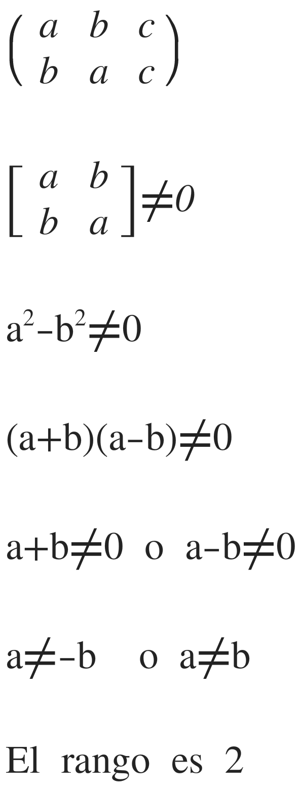
Hola unicoos, favor de ayudarme con este problema de matriz, el enunciado pide despejar la matriz X para saber quien es. gracias!!!

Observa que tienes un sistema de dos ecuaciones lineales, con dos incógnitas, que es homogéneo, por lo que es compatible (revisa tus apuntes de clase), y una de sus soluciones es: x = 0, y = 0.
Luego, haces pasaje de término en la primera ecuación y queda:
y = - (λ-3)x (1),
reemplazas en la segunda ecuación y queda:
x - (λ-3)2x = 0,
extraes factor común y queda:
x(1 - (λ-3)2) = 0,
luego, para que el sistema homogéneo del enunciado tenga otras soluciones, además de la solución trivial: x=0, y=0, plantea:
1 - (λ-3)2 = 0,
haces pasaje de término y queda:
- (λ-3)2 = - 1,
multiplicas por -1 en ambos miembros de la ecuación, y queda:
(λ-3)2 = 1, haces pasaje de potencia como raíz y tienes dos opciones:
a)
λ - 3 = -1, haces pasaje de término y queda: λ = 2,
luego, reemplazas en el sistema de ecuaciones del enunciado y queda:
- x + y= 0
x - y = 0,
que es un sistema homogéneo de dos ecuaciones lineales, y de primer grado, con dos incógnitas, que admite infinitas soluciones,
entre las que se encuentra la solución trivial: x=0, y=0, e infinitas soluciones no triviales;
b)
λ - 3 = 1, haces pasaje de término y queda: λ = 4,
luego, reemplazas en el sistema de ecuaciones del enunciado y queda:
x + y= 0
x + y = 0,
que es un sistema homogéneo de dos ecuaciones lineales, y de primer grado, con dos incógnitas, que admite infinitas soluciones,
entre las que se encuentra la solución trivial: x=0, y=0, e infinitas soluciones no triviales.
Espero haberte ayudado.

Observa que el argumento del logaritmo del numerador de la expresión debe ser estrictamente mayor que cero, y que el argumento de la raíz cuadrada del denominador debe ser estrictamente mayor que cero.
Por lo tanto, plantea:
1 - x - y > 0, haces pasajes de términos y queda: 1 - x > y, que leída de derecha a izquierda queda: y < 1 - x (1)
1 - x2 - y2 > 0, haces pasaje de término y queda: - x2 - y2 > - 1, multiplicas en ambos miembros por -1 (observa que cambia la desigualdad) y queda: x2 + y2 < 1 (2).
Luego, tienes que el dominio de la función es:
D = { (x,y) ∈ R2 : y < 1 - x ∧ x2 + y2 < 1 };
cuya representación gráfica es la región que se encuentra:
* "por encima" de la recta cuya ecuación es. y = 1 - x, y
* "dentro" de la circunferencia con centro (0,0) y radio r = 1, cuya ecuación es: x2 + y2 = 1;
y solo queda que hagas la representación gráfica.
Luego, para la "curva de nivel 0" plantea:
f(x,y) = 0,
sustituyes la expresión de la función y queda:
ln(1-x-y)/√(1-x2-y2) = 0,
haces pasaje de divisor (observa que es estrictamente positivo) como factor y queda:
ln(1-x-y) = 0*√(1-x2-y2),
resuelves el segundo miembro y queda:
ln(1-x-y) = 0,
compones en ambos miembros con la función inversa del logaritmo natural, y queda:
1 - x - y = e0,
resuelves el segundo miembro y queda:
1 - x - y = 1,
haces pasaje de término y queda:
- x - y = 0,
haces pasaje de término y queda:
- y = x,
multiplicas en ambos miembros por -1 y queda:
y = -x.
Espero haberte ayudado.
Ayuda por favor, me faltan algunos ejercicios ya hice algunos pero necesito ayuda con la numero 22. Espero alguien me pueda ayudar resolviendo de una manera algo detallada ya que eso me ayudaria mucho, aca dejo la foto. Gracias y Saludos.
Se que no es el foro pero tambien puse en el de fisica.

Plantea el problema en dos etapas, y observa que los datos finales de la primera etapa son los datos iniciales de la segunda.
Recuerda las ecuaciones diferenciales de posición y de velocidad:
dx = v*dt (1); dv = a*dt (2); v*dv = a*dx (3).
1°)
Desplazamiento del trineo sobre la plataforma
Establece un sistema de referencia con eje OX sobre la trayectoria del trineo, con origen en el punto de partida, y sentido positivo acorde al movimiento.
Tienes los datos: ti = 0, xi = 0, vi = 0, a = 9*x, xf = D, vf = 88 m/s.
Luego, plantea la ecuación diferencial señalada (3), sustituyes la expresión de la aceleración, y queda:
v*dv = 9*x*dx,
integras en ambos miembros y queda:
(1/2)*v2 = (9/2)*x2 + C (4),
reemplazas los valores de la posición inicial y de la velocidad inicial, y queda:
0 = C,
luego reemplazas en la ecuación señalada (4) y queda:
(1/2)*v2 = (9/2)*x2,
multiplicas por 2 en ambos miembros y queda:
v2 = 9*x2,
haces pasaje de potencia como raíz (observa que elegimos el signo positivo porque la dirección de la velocidad es acorde con la dirección positiva del eje OX), y queda:
v = 3*x;
luego reemplazas los valores de la velocidad final y de la posición final, y queda:
88 = 3*D,
haces pasaje de factor como divisor, y queda:
88/3 m = D.
2°)
Establece un sistema de referencia con eje OX sobre la trayectoria del trineo, con origen en el punto final de la etapa anterior, y sentido positivo acorde al movimiento.
Tienes los datos: ti = 0, xi = 0, vi = 88 m/s, a = - 0,2*t, tf = a determinar, xf = a determinar, vf = 0.
Luego, plantea la ecuación diferencial señalada (2), sustituyes la expresión de la aceleración, y queda:
dv = - 0,2*t*dt,
integras en ambos miembros y queda:
v = - 0,1*t2 + C1 (5),
reemplazas los valores del instante inicial y de la velocidad inicial, y queda:
88 = C1,
reemplazas en la ecuación señalada (5) y queda:
v = - 0,1*t2 + 88 (6),
luego reemplazas el valor de la velocidad final y queda:
0 = - 0,1*t2 + 88,
haces pasaje de término y queda:
0,1*t2 = 88,
multiplicas por 10 en ambos miembros y queda:
t2 = 880,
haces pasaje de potencia como raíz y queda:
tf ≅ 29,665 s, que es el instante en el cuál el móvil se detiene;
luego, sustituyes la expresión señalada (6) en la ecuación diferencial señalada (1) y queda:
dx = (- 0,1*t2 + 88)*dt,
integras en ambos miembros y queda:
x = - (0,1/3)*t3 + 88*t + C2 (6),
reemplazas los valores del instante inicial y de la posición inicial, y queda:
0 = C2,
reemplazas en la ecuación señalada (6), cancelas el término nulo, y queda:
x = - (0,1/3)*t3 + 88*t,
luego reemplazas el valor del instante final, y queda:
xf ≅ - (0,1/3)*29,6653 + 88*29,665 ≅ 1470,335 m, que es la posición final del trineo,
por lo que puedes concluir que el valor remarcado es la distancia que recorre sobre la nieve hasta detenerse.
Espero haberte ayudado.
Ayudenmen a hacer estos dos ejercicios y me explican como lo saco para no molestarlos tanto jajaja gracias
Con estos tres enlaces
http://www.vitutor.com/fun/3/b_1.html
http://www.vitutor.com/fun/3/b_2.html
y los ejemplos que te resolví ayer te vale creo yo.
Si te quedan dudas concretas nos cuentas.