
Tienes la expresión de la función:
y = √(2x+5) = (2x+5)1/2 (1).
Tienes las ecuación diferencial:
dx/dt = 12 (2).
Tienes también:
x0 = 24 (3),
y0 = a determinar,
dy/dt = a determinar.
Reemplazas el valor señalado (3) en la ecuación de la función señalada (1) y tienes:
y0 = √(2(24)+5) = √(48+5) = √(53).
Derivas con respecto a t en la ecuación señalada (1) (observa que debes aplicar la regla de la cadena) y queda:
dy/dt = (1/2)(2x+5)-1/2(2)(dx/dt) = (2x+5)-1/2(dx/dt),
luego reemplazas el valor señalado (3) y queda:
dy/dt = (53)-1/2(12) = 12/531/2 = 12/√(53) = 12V(53)/53.
Espero haberte ayudado.

5)
Observa que las coordenadas del punto A(3,1) verifican la ecuación, por lo que tienes que dicho punto pertenece a la curva.
Comienza por derivar implícitamente con respecto a x y queda:
4(x2 + y2)( 2x + 2y*y ' ) = 50( 2x - 2y*y ' ),
luego reemplazas las coordenadas del punto A, resuelves términos en los agrupamientos, y queda:
4(10)( 6 + 2y ' ) = 50( 6 - 2y ' ),
distribuyes en ambos miembros y queda:
240 + 80y ' = 300 - 100y ',
haces pasajes de términos y queda:
180y ' = 60,
haces pasaje de factor como divisor y queda:
y ' = 1/3, que es la pendiente de la recta tangente;
luego, con las coordenadas del punto A puedes plantear la ecuación cartesiana de la recta tangente a la curva:
y - 1 = (1/3)(x - 3).
Espero haberte ayudado.

6)
Observa que tienes la pendiente de la recta tangente, por lo que puedes plantear: y ' = - 1 (1).
Luego, derivas implícitamente con respecto a x en la ecuación de la curva, y queda:
2x*y2 + x2*2y*y ' + 1*y + x*y ' = 0,
reemplazas el valor señalado (1) resuelves productos numéricos en los términos y queda:
2x*y2 - 2x2*y + y - x = 0,
extraes factores comunes por grupos de dos términos, y queda:
2xy*(y - x) + 1*(y - x) = 0,
extraes factor común y queda:
(y - x)*(2xy + 1) = 0,
luego, por anulación de un producto, tienes dos opciones:
a)
y - x = 0, aquí haces pasaje de término y queda:
y = x (2),
luego sustituyes en la ecuación de la curva, y queda:
x4 + x2 = 2,
aplicas la sustitución (cambio de incógnita): w = x2 (3) (observa que w toma valores positivos), haces pasaje de término y queda:
w2 + w - 2 = 0, que es una ecuación polinómica cuadrática cuyas soluciones son:
a1)
w = - 2, que no tiene sentido para este problema,
a2)
w = 1, que al sustituir en la ecuación señalada 3 queda:
x2 = 1, haces pasaje de potencia como raíz y tienes dos opciones:
1°)
x = - 1, reemplazas en la ecuación señalada (2) y queda: y = - 1, por lo que tienes el punto: A(-1,-1);
2°)
x = 1, reemplazas en la ecuación señalada (2) y queda: y = 1, por lo que tienes el punto: B(1,1);
y puedes verificar que las coordenadas de ambos puntos verifican la ecuación de la curva.
b)
2xy + 1 = 0 (observa que tanto x como y deben tomar valores distintos de cero), haces pasaje de término y queda:
2xy = - 1, haces pasajes de factores como divisores y queda:
y = - 1/(2x),
luego sustituyes en la ecuación de la curva y queda:
x2( -1/(2x) )2 + x( -1/(2x) ) = 2, resuelves en cada término y queda:
1/4 - 1/2 = 2, resuelves el primer miembro y queda:
- 1/4 = 2, que es una identidad absurda,
por lo que tienes que esta opción no conduce a puntos de contacto entre la curva y rectas tangentes con pendiente -1.
Espero haberte ayudado.

7)
Observa que la pendiente de la recta tangente es -1, por lo que puedes plantear: y ' = -1 (1).
Luego derivas con respecto a x en la ecuación de la curva y queda:
y ' = 3x2 - 12x + 8,
luego igualas expresiones entre esta última ecuación y la ecuación señalada (1) y queda:
3x2 - 12x + 8 = - 1, haces pasaje de término y queda:
3x2 - 12x + 9 = 0, divides por 3 en todos los términos de la ecuación y queda:
x2 - 4x + 3 = 0, que es una ecuación polinómica cuadrática cuyas soluciones son:
a)
x = 1, luego reemplazas en la ecuación de la curva y queda:
y = (1)3 - 6(1)2 + 8(1) = 1 - 6 + 8 = 3,
por lo que tienes el punto: A(1,3)
que verifica la ecuación de la curva, pero observa que no verifica la ecuación de la recta tangente, por lo que no es un punto de tangencia;
b)
x = 3, luego reemplazas en la ecuación de la curva y queda:
y = (3)3 - 6(3)2 + 8(3) = 27 - 54 + 24 = -3,
por lo que tienes el punto: B(3,-3)
que verifica la ecuación de la curva y también de la recta tangente, por lo que si es un punto de tangencia.
Espero haberte ayudado.

8)
Tienes la expresión de la función (observa que su dominio es el conjunto de los números reales):
f(x) = 2senx + sen2x,
luego derivas (observa que en el segundo término debes aplicar la regla de la cadena) y queda:
f ' (x) = 2cosx + 2senx*cosx,
luego, como tienes que las rectas tangentes son horizontales, tienes que sus pendientes son iguales a cero, y puedes plantear:
f ' (x) = 0, sustituyes la expresión de la función derivada y queda:
2cosx + 2senx*cosx = 0, divides por 2 en todos los términos de la ecuación y queda:
cosx + senx*cosx = 0, extraes factor común y queda:
cosx*(1 + senx) = 0,
luego, por anulación de un producto, tienes dos opciones:
a)
cosx = 0, compones con la función inversa del coseno y queda:
x = k*π, con k ∈ Z,
luego sustituyes en la expresión de la función y queda:
y = f(k*π) = 2sen(k*π) + sen2(k*π) = 2(0) + (0)2 = 0 + 0 = 0,
por lo que tienes los puntos de tangencia cuyas coordenadas son:
A(k*π,0), con k ∈ Z;
b)
1 + senx = 0, haces pasaje de término y queda:
senx = - 1, compones con la función inversa del seno y queda:
x = -π/2 + 2m*π, con m ∈ Z,
luego sustituyes en la expresión de la función y queda:
y = f(-π/2 + 2m*π) = 2sen(-π/2 + 2m*π) + sen2(-π/2 + 2m*π) = 2(-1) + (-1)2 = -2 + 1 = -1,
por lo que tienes los puntos de tangencia cuyas coordenadas son:
B(-π/2 + 2m*π,0), con m ∈ Z.
Espero haberte ayudado.
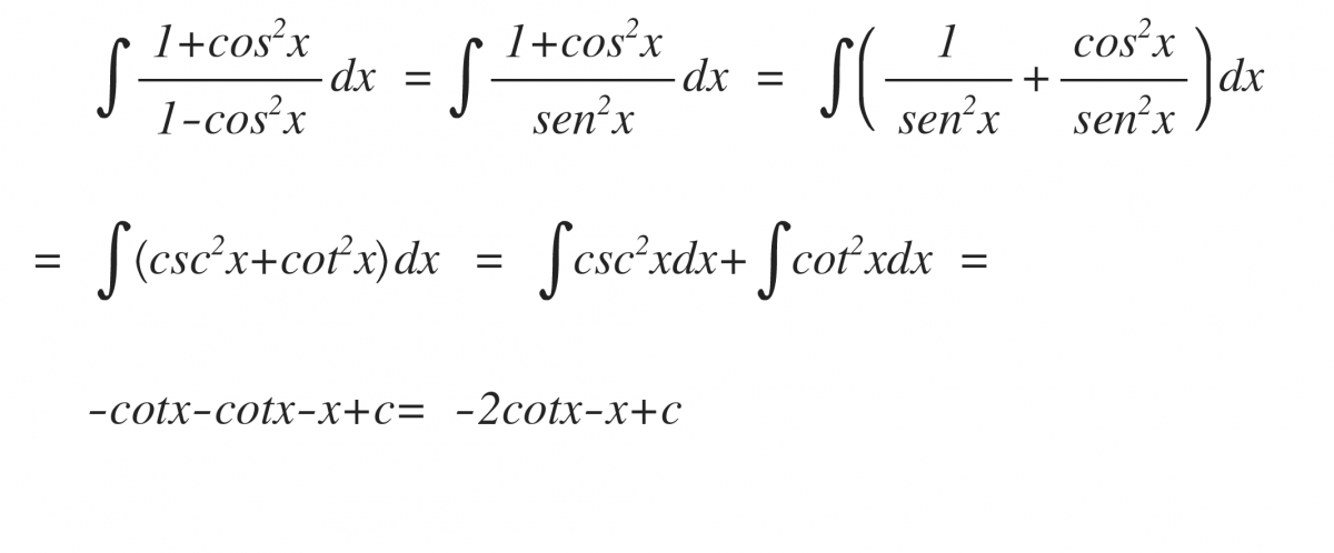
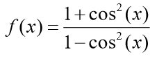
Hola, le he estado dando muchas vueltas a una integral y no consigo hacerla de ninguna manera. Agradecería la ayuda.
La integral de ∫ex²
Exprese las cantidades dadas en función de sen x y cos x.
1. cos(π+x)
2. sen(2π-x)

Me encantaría ayudarte, pero no respondo dudas universitarias que no tengan que ver específicamente con los videos que ya he grabado como excepcion. O de otras asignaturas que no sean matemáticas, física y química. Lo siento de corazón… Espero lo entiendas
Ojalá algun unicoo universitario se anime a ayudarte (de hecho lo ideal es que todos los universitarios intentarais ayudaros los unos a los otros)