Foro de preguntas y respuestas de Matemáticas

logo beUnicoos
Los foros de unicoos se han unificado en nuestra nueva plataforma beUnicoos. Para dejar nuevas preguntas deberás hacerlo allí, donde además podrás encontrar nuevas asignaturas y herramientas para ayudarte más con tus estudios.

  • icon

    Santiago
    el 14/9/17

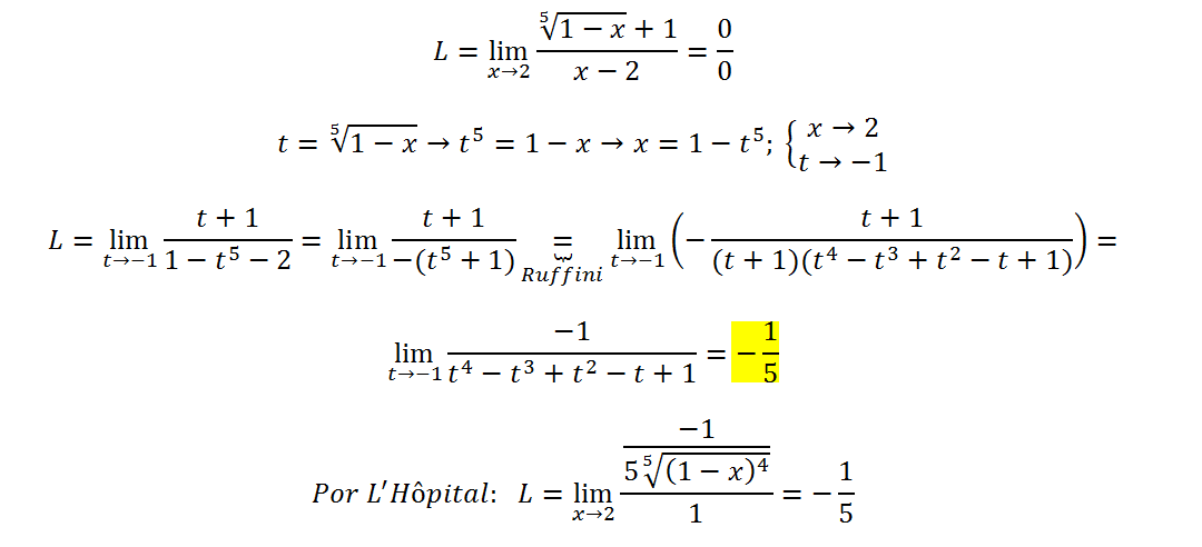
    como resuelvo este limite?



    replythumb_up0 voto/sflag
    icon

    Antonius Benedictus
    el 14/9/17


    thumb_up0 voto/sflag
    icon

    Santiago
    el 17/9/17

    se puede hacer con la derivada de los limites?

    es que aun no he visto l´Hopital entonces no la puedo usar

    thumb_up0 voto/sflag
  • icon

    elkin eliecer moreno
    el 14/9/17

    Y el 18 como lo hago

    replythumb_up0 voto/sflag
    icon

    Ángel
    el 14/9/17


    thumb_up1 voto/sflag
  • icon

    Alisson Ashanty Rojas Cruz
    el 14/9/17

    Buenas noches, disculpen podrían ayudarme con este ejercicio. He llegado a un punto en donde me he bloqueado y ya no se como resolverlo. (TT.TT) les agradecería mucho si me ayudaran. 

    Por su atención gracias.  



    replythumb_up0 voto/sflag
    icon

    Ángel
    el 14/9/17


    thumb_up0 voto/sflag
    icon

    Ángel
    el 14/9/17


    thumb_up0 voto/sflag
    icon

    Alisson Ashanty Rojas Cruz
    el 14/9/17

    Ángel, te vas a ir al cielo, muchas gracias!!!!!!!! :D 


    thumb_up2 voto/sflag
  • icon

    elkin eliecer moreno
    el 14/9/17

    Ayuda con el 16, No sé como hacerlo, gracias 

    replythumb_up0 voto/sflag
    icon

    Ángel
    el 14/9/17


    thumb_up1 voto/sflag
  • icon

    Santiago
    el 14/9/17

    ayuda con esto porfavor

    replythumb_up0 voto/sflag
    icon

    Antonius Benedictus
    el 14/9/17


    thumb_up0 voto/sflag
    icon

    Santiago
    el 15/9/17

    por que valores remplazas g(x) y f(x)?


    thumb_up0 voto/sflag
    icon

    Antonius Benedictus
    el 15/9/17

    Por los que se obtienen analizando las gráficas (tanto el valor de la ordenada como de la pendiente)

    thumb_up0 voto/sflag
  • icon

    Aleatorius
    el 14/9/17

    Hola a todos, tiene algún nombre el hecho hacer el cambio sobre la línea de fracción; es decir, inicialmente se ve una fracción, pero luego se separa en dos fracciones sin alterar nada, como se llama ese paso?; se que no es "separa en términos".


    replythumb_up0 voto/sflag
    icon

    Alvaro
    el 14/9/17

    No se si te refieres al hecho de simplificar , ya que realmente no creo que eso tenga nombre , ya que no es una operación en sí , no alteras nada. No sé si estoy en lo cierto.

    thumb_up1 voto/sflag
    icon

    Aleatorius
    el 18/9/17

    Gracias Alvaro por comentar, te cuento:
    Es la propiedad conmutativa 
    Que dice que el orden de los factores no altera el producto entones, para verlo más fácil teniendo la fracción 

    a/b * a/b  
    Al multiplicar se multiplica arriba y abajo quedando 
    (a*a)/(b*b)  
    Por lo cual no importa cuál de las dos formas da el mismo resultado 
    (2*4)/(3*5)=2/3*4/5 ó 4/3*2/5 

    thumb_up0 voto/sflag
  • icon

    Desencadenado
    el 14/9/17

    Necesitaría la verificación de estos, en caso de que alguno tenga un resultado erróneo, la respuesta correcta.

    replythumb_up0 voto/sflag
    icon

    Ángel
    el 14/9/17


    Te dice que al comienzo del mes (el día 1) hay 720 y te pregunta cuantos hay a final de mes (día 31); es decir: 30 días después

    Entonces considero que hay 30 "incrementos" de 6 presos y un "decremento" de 150

    Por lo que: 720+30*6-150 = 750

    thumb_up1 voto/sflag
    icon

    Desencadenado
    el 14/9/17

    Ángel fíjate que son dos imágenes.

    Yo había tomado los 31 días como incremento.

    thumb_up0 voto/sflag
    icon

    Ángel
    el 14/9/17

    En la otra imagen lo veo todo perfecto.

    thumb_up1 voto/sflag
  • icon

    Desencadenado
    el 14/9/17

    Podrían realizarme estos ejercicios por favor!

    replythumb_up0 voto/sflag
    icon

    Ángel
    el 14/9/17


    thumb_up1 voto/sflag
    icon

    Desencadenado
    el 14/9/17

    No se porque se me metió en la cabeza que eran números combinatorios, pero no me gustaban los resultados que obtenía.

    Gracias Ángel!!!

    thumb_up1 voto/sflag
    icon

    Ángel
    el 14/9/17

    Si no te convencen los resultados que obtienes con la teoría, intenta razonarlo y puede que (no siempre) des con un método informal que te haga dar con el resultado de forma lógica y por lo tanto correcta

    En el de los menús hay 12 combinaciones posibles (se ve perfectamente si te haces diagramas de árbol como el que te puse) y combinas:

    Entrada(1), Plato(1),Postre(1)

    Entrada(1), Plato(2),Postre(1)

    Entrada(1), Plato(3),Postre(1)

    Entrada(1), Plato(1),Postre(2)

    Entrada(1), Plato(2),Postre(2)

    Entrada(1), Plato(3),Postre(2)

    Entrada(2), Plato(1),Postre(1)

    Entrada(2), Plato(2),Postre(1)

    Entrada(2), Plato(3),Postre(1)

    Entrada(2), Plato(1),Postre(2)

    Entrada(2), Plato(2),Postre(2)

    Entrada(2), Plato(3),Postre(2)


    En el otro, más de lo mismo.


    Matemáticamente, el criterio o regla de multiplicación te salva de muchos apuros :D y todo esto que te dije lo puedes obviar...lo simplifica y mecaniza:

    https://es.slideshare.net/TaniaAMonroy/regla-de-la-multiplicacin-y-permutacion

    thumb_up0 voto/sflag
  • icon

    Santiago
    el 14/9/17

    Muy buenas unicoos.

    Me podrían confirmar si esta bien este ejercicio de derivada implícita?

    e^(y)*cos(x)=1+sin(xy)

    dy/dx=(cos(xy) + e^y*sin(x))/(e^y*cos(x) - x)

    muchas gracias.


    replythumb_up0 voto/sflag
    icon

    Ángel
    el 14/9/17

    ¿Puedes mandar foto del enunciado original con tu proceso/solución?


    thumb_up0 voto/sflag
    icon

    Santiago
    el 14/9/17


    thumb_up0 voto/sflag
    icon

    Santiago
    el 14/9/17

    No hay texto alternativo automático disponible.

    thumb_up0 voto/sflag
    icon

    Ángel
    el 14/9/17


    thumb_up0 voto/sflag
    icon

    Santiago
    el 14/9/17

    el xy´estaba a la derecha sumando, paso a la izquierda a restar

    lo pase por que junté los terminos que tienen y´

    thumb_up0 voto/sflag
  • icon

    Rj Mitte
    el 13/9/17

    Ayuda please


    replythumb_up0 voto/sflag
    icon

    Alvaro
    el 14/9/17

    como el área de un triángulo es    ( base x altura ) / 2   , y todos ellos tienen la misma altura y base, al menos es lo que se aprecia en la imagen , podemos decir que el área de todos ellos es    [8 (base) x 4 (altura) ] / 2  = 16     . Podemos observar que todo triangulo con la misma base y altura tiene el mismo área , sin importar la  forma.

    Espero ayudar

    thumb_up1 voto/sflag