
¡Hola! Nos encantaría ayudarte, pero no solemos responder dudas universitarias que no tengan que ver específicamente con los vídeos que David Calle ha grabado como excepción. O de otras asignaturas que no sean Matemáticas, Física y Química. Lo sentimos de corazón… Esperamos que lo entiendas.
Ojalá algún unicoo universitario se anime a ayudarte (de hecho, lo ideal es que todos los universitarios intentarais ayudaros los unos a los otros).
Hola a todos,
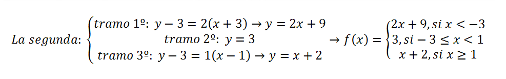
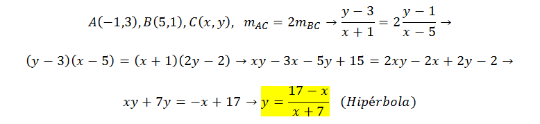
Alguien me podría indicar cómo sacar la función a partir de los puntos de la gráfica? Creo que así se sacaría la tasa de variación media según el video de David.
Gracias a todos
Una pregunta: El precio de una bebida en los bares de una ciudad. Aparte de ser una variable cuantitativa, ¿que sería discreta o continua?
Hola unicoos una pregunta me dan ciertos datos para hayar lo siguiente
frecuencia de aparicion, relativa, acumulada, relativa acumulada, promedio, varianza, desviacion estandar...
pero tengo duda de como sacar el promedio porque tengo 10 intervalos no se que datos tomar para calcular el promedio unicoos ayudenme porfavor mil gracias :) ![]()
Muy importante el concepto de "marca de clase" en ejercicios de datos agrupados en tablas.
En tu ejemplo, la 1ª marca de clase sería (0+6383)/2= 3191.5, la 2ª (6383+12766)/2= 9574.5 , y así con todas.
http://www.ditutor.com/estadistica/marca_clase.html