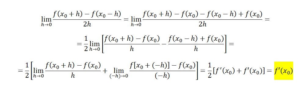
El a) es directo
Desde el b) hasta el j) salen directamente procediendo como en el vídeo
Del k) hasta el final pasa a común denominador y aplica lo del vídeo
https://www.unicoos.com/video/matematicas/2-bachiller/limites-y-continuidad/limites-en-el-infinito/limite-infinito-entre-infinito-01-indetermina
Intenta hacerlos, si alguno no te sale nos dices el apartado y te ayudamos.
Hola, como puedo hallar la ecuacion de la hiperbola ??
¿Cuál es la ecuación de la hipérbola cuyo focos son (2,7) y (2,-1) y que pasa por el punto (-3,9)?

Observa que los focos pertenecen a la recta paralela al eje OY cuya exuación es: x = 2, y que el punto medio entre los focos es: C(2,3), que es el centro de simetría de la hipérbola.
Luego, puedes plantear la ecuación cartesiana canónica:
- (x-2)2/b2 + (y-3)2/a2 = 1 (1),
multiplicas por a2b2 en todos los términos de la ecuación y queda:
- (x-2)2*a2 + (y-3)2*b2 = a2b2,
luego, reemplazas las coordenadas del punto A(-3,9) que pertenece a la hipérbola, y queda:
- 25*a2 + 36*b2 = a2b2 (2),
luego, observa que la distancia entre el centro de simetría y cada uno de los focos es c = 4, que es la semidistancia focal,
luego plantea a relación entre el semieje real (a), el semieje imaginario (b) y la semidistancia focal de la hipérbola:
a2 + b2 = c2 (observa que a y b deben ser valores menores que c), reemplazas y queda:
a2 + b2 = 16, haces pasaje de término y queda:
b2 = 16 - a2 (3),
luego sustituyes la expresión señalada (3) en la ecuación señalada (2) y queda:
- 25*a2 + 36*(16 - a2) = a2*(16 - a2),
distribuyes factores comunes y queda:
- 25*a2 + 576 - 36a2 = 16a2 - a4,
haces pasajes de términos y queda:
a4 - 77a2 + 576 = 0,
que es una ecuación polinómica bicuadrática, aplicas la sustitución (cambio de incógnita): w = a2 (4) y queda:
w2 - 77w + 576 = 0,
que es un ecuación polinómica cuadrática, cuyas soluciones son:
a)
w ≅ (77 + 60,208)/2 ≅ 68,604, sustituyes la expresión señalada (4) y queda:
a2 ≅ 68,604, haces pasaje de potencia como raíz y queda:
a ≅ 8,283, que es mayor que c = 4, por lo que no tiene sentido para este problema;
b)
w ≅ (77 - 60,208)/2 ≅ 8,396, sustituyes la expresión señalada (4) y queda:
a2 ≅ 8,396, haces pasaje de potencia como raíz y queda:
a ≅ 2,898, que es menor que c = 4, por lo que si tiene sentido para este problema;
luego, reemplazas el valor remarcado en la ecuación señalada (3) y queda:
b2 ≅ 16 - 8,396 ≅ 7,604, haces pasaje de potencia como raíz y queda:
b ≅ 2,758, que es menor que c = 4, por lo que si tiene sentido para este problema.
Luego, sustituyes los valores remarcados en la ecuación señalada (1) y queda:
- (x-2)2/7,604 + (y-3)2/8,396 = 1,
que es la ecuación cartesiana canónica de la hipérbola, con los valores de los denominadores aproximados.
Espero haberte ayudado.
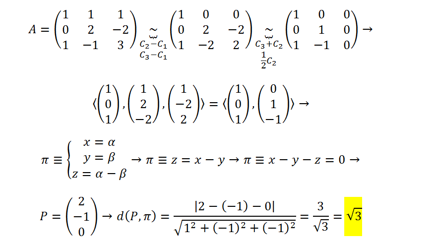
me pueden dar una mano con este: no ser por odnde empezar. pense algo pero no se si estara bien, considerar A. como un plano de esas ecuaciones y a P como un vector. Hallar el vector normal al plano y asi usar P y hallar la distancia pero no se si es eso. o como se hace.

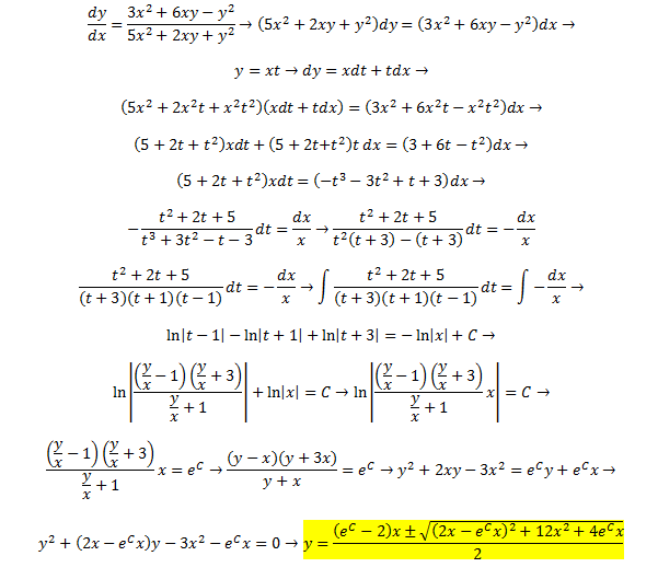
Me parece..... me parece que no es la estrategia o artificio matemático mas correcto...
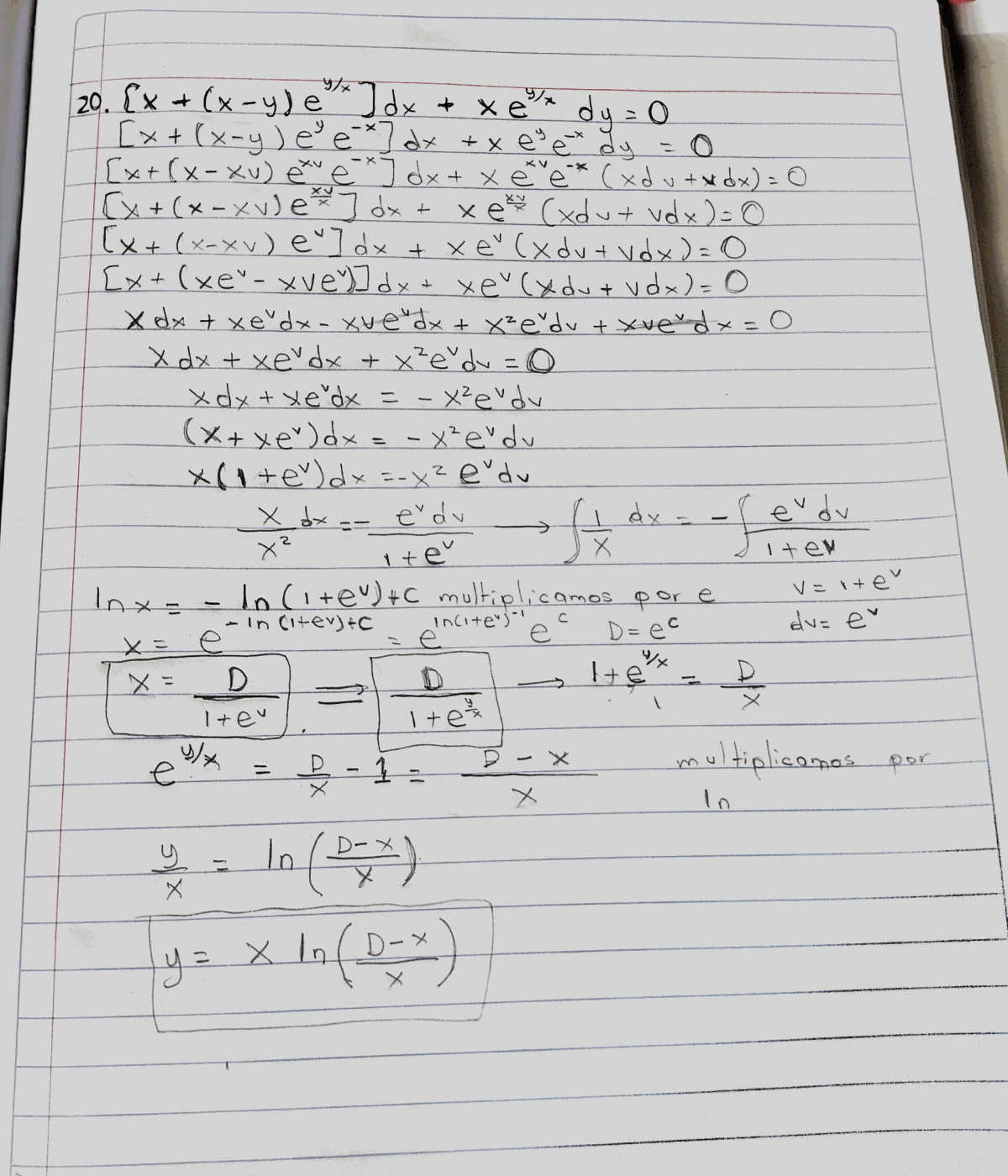
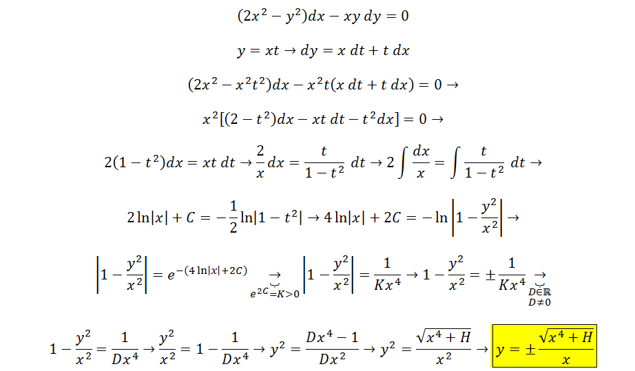
tenia que haber dividido el numerador y denominador para x2
e y así puedes sustituir y/x=v
i....... Es una ecuación diferencial homogénea, si haces esto dy/dx quedará en función de v.
También debes sustituir dy/dx por v+ x (dv/dx) ya que diferenciaciando o derivando se sabe de antemano que
dy/dx=v+ x (dv/dx)