Hola buen dia alguien podría de x favor ayudarme con estos 3 ejercicios que no logro llegar a esa respuesta....No comprendo lo que me piden en el ultimo de la matriz Gracias de antemano... Saludos...
...........................................................................................................................................................................
.........................................................................................................................................
.............................................................................

¡Hola! Nos encantaría ayudarte, pero no solemos responder dudas universitarias que no tengan que ver específicamente con los vídeos que David Calle ha grabado como excepción. O de otras asignaturas que no sean Matemáticas, Física y Química. Lo sentimos de corazón… Esperamos que lo entiendas.
Ojalá algún unicoo universitario se anime a ayudarte (de hecho, lo ideal es que todos los universitarios intentarais ayudaros los unos a los otros).
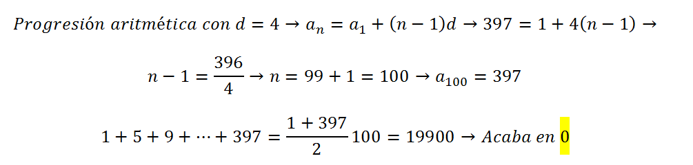
hola buenas noches tengo estos ejercicios alguien me puede ayudar por favor gracias de antemano.....
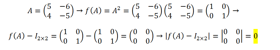
en este me piden que averigue si la siguiente matrice es inversible y si lo fuese hallar su inversa ... (de este ejercicio se como hallar la inversa pero lo que no se son los puntos que hay en la matriz y las a11 a22 ann esa es mi duda si alguien me lo puede aclarar lo resuelvo facilemente) ![]()
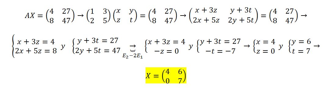
y mi otro ejercicio es este que intente todas las convinaciones posibles y no pude hallar la matriz solo pude hallar 1 numero de cada fila o columna el resto no.... no se si abra una formula o que pasos hay que seguir para poder hacer esto
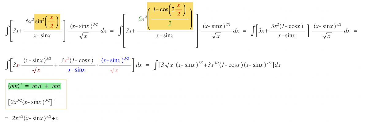
Ya lo termine y si me hicieran el gran favor de verificar si esta bueno se los agradeceria mucho

Creo que ya lo he visto...
Pista: Deriva (x-sen)3/2 e intenta relacionarlo con algun/os elementos de la parte derecha
Después relaciona los elementos de la derecha que no hayas relacionado antes (su derivada deberá ser lo que queda de la derecha)
Así podrás tener la derivada de un producto e integrar directamente.
"Peléate" un poco con la integral y si no te sale te la resolvemos.