Para demostrar que es rectángulo, planteo:
Vector AB=DC
(6-2 , 3-1) = (7-3 , 1-(-1))
(4 , 2) = (4 , 2)
Vector AD= BC
(3-2 , (-1) -1) = (7-6 , 1-3)
(1 , (-2)) = (1 , (-2))
Y luego para calcular el perímetro de un rectángulo hago:
P= a*2 + b*2
P= (módulo) AB + (módulo) AD
Finalmente el área
A= b*a
A= AB*BC
Es correcto? Gracias

Si, tu planteo es correcto, ya que has verificado que tienes dos pares de vectores paralelos, pero te falta mostrar que son perpendiculares, y eso lo planteas por medio del producto escalar (recuerda que si el producto escalar de dos vectores no nulos es igual a cero, entonces tienes que los vectores son perpendiculares):
AB • BC = <4,2> • <1,-2> = 4*1 + 2*(-2) = 4 - 4 = 0,
por lo que tienes que los vectores son perpendiculares entre si, y el cuadrilátero es un rectángulo.
Luego, has planteado correctamente las expresiones para calcular su perímetro y su área.
Espero haberte ayudado.
El perímetro he hecho:
P= (módulo) AB + (módulo) AD
ΙABΙ = √(42 + 22)= √(16 + 4)= √(20)=2√(5)
ΙADΙ = √(12 + (-22))= √(5)
P= 2√(5) + √(5) Pero en la solución me dice que es 6√(5)
Y el área me da 0
Área= AB•BC
AB • BC = (4,2) • (1,-2) = 4•1 + 2•(-2) = 4 - 4 = 0
y en la solución me da 10

Observa que las longitudes de los lados son iguales a las distancias entre sus vértices, por lo que puedes plantear:
LAB = d(A,B) = √( (-1-1)2+(3-1)2 ) = √( (-2)2+(2)2 ) = √(4+4) = √(8);
LAC = d(A,C) = √( (-3-1)2+(-3-1)2 ) = √( (-4)2+(-4)2 ) = √(16+16) = √(32);
LBC = d(B,C) = √( (-3-(-1))2+(-3-3)2 ) = √( (-2)2+(-6)2 ) = √(4+36) = √(40);
luego, como tienes que las longitudes de los lados son distintas unas de otras,
puedes concluir que el triángulo es escaleno.
Espero haberte ayudado.
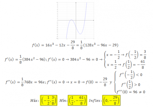
Calcule las raíces de los polinomios. Si hay raíces repetidas, indique su multiplicidad. Escriba además cada polinomio en forma de producto de sus factores lineales.
1. x2-6x+13
2. 16x4-8x2+1
3. x4+6x3+9x2

1)
A(x) = x2 - 6x + 13 = (x2 - 6x + 9) + 4 = (x - 3)2 + 4;
luego, plantea la condición que cumplen las raíces:
A(x) = 0, sustituyes y queda:
(x - 3)2 + 4 = 0, haces pasaje de término y queda:
(x - 3)2 = - 4, haces pasaje de potencia como raíz (observa que tienes soluciones complejas) y queda:
x - 3 = ± 2i, haces pasaje de término y queda:
x = 3 ± 2i, por lo que tienes que el polinomio no tiene raíces reales, y que sus raíces son:
x = 3 + 2i y x = 3 - 2i.
2)
B(x) = 16x4 - 8x2 + 1 = (4x2 - 1)2 = ( (2x - 1)(2x + 1) )2 = (2x - 1)2(2x + 1)2; (observa que tienes dos factores cuya multiplicidad es dos);
luego, plantea la condición que cumplen las raíces:
B(x) = 0, sustituyes y queda:
(2x - 1)2(2x + 1)2 = 0, luego, por anulación de un producto, tienes dos opciones:
a)
(2x - 1)2 = 0, haces pasaje de potencia como raíz, luego haces pasaje de término, y queda:
2x = 1, haces pasaje de factor como divisor y queda:
x = 1/2, que es una raíz real de multiplicidad dos;
b)
(2x + 1)2 = 0, haces pasaje de potencia como raíz, luego haces pasaje de término, y queda:
2x = - 1, haces pasaje de factor como divisor y queda:
x = - 1/2, que es una raíz real de multiplicidad dos.
3)
C(x) = x4 + 6x3 + 9x2 = x2(x2 + 6x + 9) = x2(x + 3)2 (observa que tienes dos factores cuya multiplicidad es dos);
luego, plantea la condición que cumplen las raíces:
C(x) = 0, sustituyes y queda:
x2(x + 3)2 = 0, luego, por anulación de un producto tienes dos opciones:
a)
x2 = 0, haces pasaje de potencia como raíz y queda:
x = 0, que es una raíz de multiplicidad dos;
b)
(x + 3)2 = 0, haces pasaje de potencia como raíz, luego haces pasaje de término, y queda:
x = - 3, que es una raíz real de multiplicidad dos.
Espero haberte ayudado.
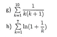
Por favor que pena molestar, ayuda con esto, que propiedades de sumatoria puedo usar e q al usar gauss no me da

h)
Desarrollas la sumatoria y queda:
∑(k=1,7) ( ln(1+1/k) =
= ln(1+1/1) + ln(1+1/2) + ln(1+1/3) + ln(1+1/4) + ln(1+1/5) + ln(1+1/6) + ln(1+1/7) =
resuelves los argumentos de los logaritmos y queda:
= ln(2) + ln(3/2) + ln(4/3) + ln(5/4) + ln(6/5) + ln(7/6) + ln(8/7) =
aplicas la propiedad del logaritmo de un producto y queda:
= ln( 2*(3/2)*(4/3)*(5/4)*(6/5)*(7/6)*(8/7) ) =
simplificas en el argumento del logaritmo y queda:
= ln(8).
En el ejercicio siguiente, tienes el dato:
∑(i=1,n) ai = n(3n-1)/2 (1),
luego plantea:
∑(i=7,15) ai = agregas términos opuestos para "completar sumatoria" y queda:
= ∑(i=1,6) ai + ∑(i=7,15) ai - ∑(i=1,6) ai = asocias los dos primeros términos y queda:
= ∑(i=1,15) ai - ∑(i=1,6) ai =
aplicas la ecuación señalada (1) (observa que en el primer término tienes n = 15, y que en el segundo término tienes n = 6) y queda:
= 15(3*15-1)/2 - 6*(3*6-1)/2 = 15*44/2 - 6*17/2 = 330 - 51 = 279.
Espero haberte ayudado.