Sea f una función con dominio simétrico respecto al origen, es decir, si x pertenece a su dominio, -x también pertenece.
Demuestre que f se puede expresar como la suma de una función par y una función impar.
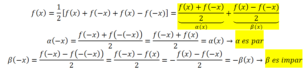
f(x)=E(x)+O(x)
siendo E una función par y O una función impar.
Sugerencia:
Forme E(x)=(f(x)+f(-x))/2. Demuestre que E(x)=E(-x), por lo que E será
par. Demuestre después que O(x)=f(x)-E(x) es una función impar.
Ayuda por favor
Aplicando el teorema de MOIVRE, el valor Z= (3+√3i)3 , es:
TEMA: Números Complejos

Comienza por calcular el módulo del número complejo que es argumento de la potencia (observa que es un número complejo del primer cuadrante). haces el cálculo y queda: √(32 + (√(3))2) = √(9 + 3) = √(12) .
Luego, plantea la tangente del argumento:
tan(θ) = √(3)/3, luego compones con la función inversa de la tangente y queda: θ = 30ª = π/6 rad.
Luego, tienes en tu enunciado:
z = ( 3 + √(3)i)3 = pasas a la forma polar y queda:
= ( √(12)π/6 )3 = plantea la Fórmula de De Moivre para las potencias y queda:
= [( √(12) )3]3*π/6 = resuelves el argumento y queda:
= [( √(12) )3]π/2.
Espero haberte ayudado.

Lo siento, espero lo entiendas, pero no se trata de que os hagamos los deberes...
Se trata de que DESPUES DE IR A CLASE (ver los vídeos relacionados con
vuestras dudas) enviéis dudas concretas, muy concretas. Y que nos enviéis
también todo aquello que hayais conseguido hacer por vosotros mismos. Paso a
paso, esté bien o mal. No solo el enunciado. De esa manera podremos saber vuestro
nivel, en que podemos ayudaros, cuales son vuestros fallos.... Y el trabajo
duro será el vuestro. Nos cuentas ¿ok? #nosvemosenclase ;-)
una duda porque cos(90-x) es igual a senx ? gracias