Foro de preguntas y respuestas de Matemáticas

logo beUnicoos
Los foros de unicoos se han unificado en nuestra nueva plataforma beUnicoos. Para dejar nuevas preguntas deberás hacerlo allí, donde además podrás encontrar nuevas asignaturas y herramientas para ayudarte más con tus estudios.

  • icon

    Blanca Rodríguez Fernández
    el 3/9/17

    alguien podría ayudarme y explicarme como se hace!? lo agradecería mucho (es una ecuación polinomica)



    replythumb_up0 voto/sflag
    icon

    César
    el 3/9/17

    No te queda mas remedio que usar Cardano Vieta

    file:///C:/Users/Usuario/Downloads/Dialnet-SobreLaSolucionDeEcuacionesDeTercerYCuartoGrado-3994517.pdf

    thumb_up1 voto/sflag
  • icon

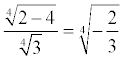
    Nerea Pérez Ruiz
    el 3/9/17

    Hola me gustaría que me ayudasen con estos radicales,me sería de gran ayuda muchas gracias 

    replythumb_up0 voto/sflag
    icon

    César
    el 3/9/17

    Revisa el enunciado Nerea, el segundo no lo entiendo

      raiz compleja

    thumb_up0 voto/sflag
  • icon

    Marcosss Martinez
    el 3/9/17

    ayuda por favor


    replythumb_up0 voto/sflag
    icon

    César
    el 3/9/17

    Y que te piden hacer Marcossss??


    thumb_up0 voto/sflag
    icon

    Marcosss Martinez
    el 3/9/17

    Nada César la he encontrado en vitutor, gracias por tu colaboración.

    thumb_up0 voto/sflag
  • icon

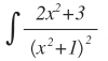
    JUAN AMPIE
    el 3/9/17

    Hola buenas tardes me podrian ayudar con esta integral ya no se como seguirle


    replythumb_up0 voto/sflag
    icon

    David
    el 27/9/17

    Te sugiero este video pues el proceso que sigues no es correcto...

    Integral racional en fracciones simples 03

    thumb_up0 voto/sflag
  • icon

    elkin eliecer moreno
    el 3/9/17

    Como se resuelve este ejercicio únicos, se coge 2n-1 como dice q son impares 


    replythumb_up0 voto/sflag
    icon

    Antonius Benedictus
    el 3/9/17


    thumb_up1 voto/sflag
    icon

    elkin eliecer moreno
    el 3/9/17

    mi pregunta es, para el valor de n se puede tomar n=3, o toca la formula de 2n-1 q es para lo impares. explícame solo el enunciado. gracias

    thumb_up0 voto/sflag
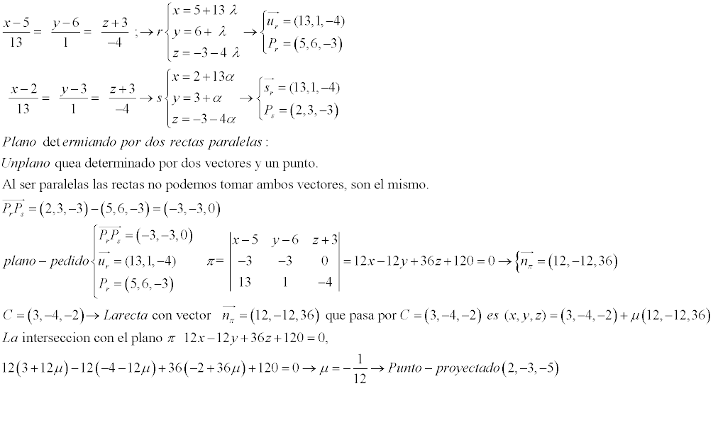
  • icon

    Guillermo
    el 3/9/17

    Hallar la proyeccion del punto C(3,-4,-2) SOBRE EL PLANO QUE PASA POR LAS DOS RECTAS PARALELAS

    x-5/13= y-6/1 = z+3/-4   ;  x-2/13= y-3/1 = z+3/-4 

    ayundenme porfavor 

    replythumb_up0 voto/sflag
    icon

    César
    el 3/9/17


    thumb_up1 voto/sflag
    icon

    Guillermo
    el 5/9/17

    muchas gracias, eres maestro

    thumb_up0 voto/sflag
  • icon

    Guillermo
    el 3/9/17

    hallar el punto q que es simetrico al punto p(3,-4,-6) con respecto al plano que pasa por los puntos m1(-6,1,-5)   m2(7,-2,-1)  y  m1(10,-7,1) 


    AYUDA

    7u7


    replythumb_up0 voto/sflag
    icon

    César
    el 3/9/17

    similar al anterior


    Geometría analítica

    thumb_up1 voto/sflag
  • icon

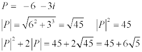
    Valeria Alexandra Soto Mendoza
    el 3/9/17

    Ayuda por favor

    Si P= -6 -3i, es un número complejo, entonces el valor de ΙPΙ2 + 2ΙPΙ, es:

    Tema: NÚMEROS COMPLEJOS 

    replythumb_up0 voto/sflag
    icon

    Andres Sampayo
    el 3/9/17

    ΙPΙ=3raizcuadradade5

    45+6raizcuadradade5

    thumb_up0 voto/sflag
    icon

    César
    el 3/9/17


    thumb_up0 voto/sflag
  • icon

    Rj Mitte
    el 3/9/17


    Ayuda con estos tres por favor, el cinco ya lo hice pero no estoy seguro, el q mas necesito es el 7 y el 6


    replythumb_up0 voto/sflag
    icon

    Desencadenado
    el 3/9/17


    thumb_up2 voto/sflag
    icon

    Rj Mitte
    el 4/9/17

    A mi me dio 30m la profundidad a ti te dio mucho nelson

    thumb_up0 voto/sflag
  • icon

    martin garcia
    el 3/9/17

    buenas como se saca el puntos vació de una función, en el cual mi función es: 

    (X^3 - 6X^2 +11X - 6)/(X^3 +2X^2 -X -2)

    cabe recalcar esto es un ejercicio de estudio completo de una funcion

    muchas gracias.


    replythumb_up0 voto/sflag
    icon

    Ángel
    el 3/9/17

    Tienes que igualar a cero el denominador (X^3 +2X^2 -X -2= 0)

    Los valores de x que obtengas son los puntos vacíos, porque en esos puntos no está definida la función.

    thumb_up0 voto/sflag