Hola, me podrían ayudar con este ejercicio ?
Los beneficios netos de una empresa, en millones de euros, se pueden aproximar mediante la expresión:
f(t)= 30t-60/5t+7 donde t>0 representa los años de vida de la empresa.
-Explicar razonadamente a partir de que año la empresa obtiene beneficios netos no negativos. Yo intenté remplazando desde 0,5 hasta que no me diera negativo pero no se si haya una formula o un video para resolverlo.
-¿Pueden crecer indefinidamente los beneficios netos de la empresa a medida que transcurre el tiempo t? En caso afirmativo, justificarlo formalmente. En caso negativo, determinar un valor que limite superiormente dichos beneficios netos. No se como resolverlo, si hay un video o me pueden explicar como, se los agradeceria mucho.
GRACIAS :)
Tu enunciado dice:
¿Pueden crecer INDEFINIDAMENTE los beneficios netos de la empresa a medida que transcurre el tiempo t?
El equivalente matemático a indefinidamente es cuando t (años) es MUY grande (dentro de muchos años) tienda a algo MUY grande (infinito)
Por eso lim(t->inf) (30t-60)/(5t+7)
lim(t->inf) (30t-60)/(5t+7) = inf/inf = indeterminación
lim(t->inf) (30t-60)/(5t+7) = lim(t->inf) (30t/t - 60/t)/(5t/t + 7/t) = lim(t->inf) (30inf/inf - 60/inf)/(5inf/inf + 7/inf) =
= (30inf/inf - 60/inf)/(5inf/inf + 7/inf) = (30 - 0)/(5 + 0) = 30/5 = 6 (solución)
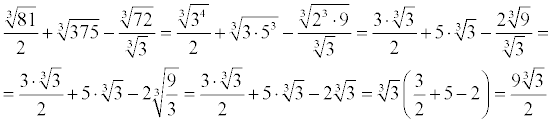
Suponga que f es una función par, g es una función impar y que tanto f como g están definidas en toda la recta real. Las siguientes funciones ¿son pares, impares o ninguna de las dos cosas?
1. g/f,
2. f2=ff,
3. g2=gg

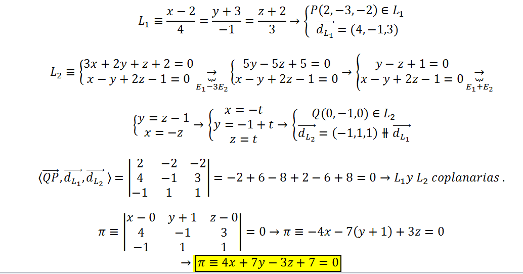
Los pasos que has hecho son correctos, al igual que la solución del sistema.
Pero observa que has aplicado parcialmente el Método de Gauss, que requiere llegar a la matriz ampliada reducida y escalonada por filas.
En tu última matriz, puedes multiplicar por 1/2 a la tercera fila y queda:
1 1 1 3
0 3 1 4
0 1 0 1
permutas la fila 2 con la fila 3 y queda:
1 1 1 3
0 1 0 1
0 3 1 4
a la fila 1 le restas la fila 2, a la fila tres le restas el triple de la fila 2, y queda:
1 0 1 2
0 1 0 1
0 0 1 1
a la fila 1 le restas la fila 3 y queda:
1 0 0 1, que corresponde a la ecuación: x = 1,
0 1 0 1, que corresponde a la ecuación: y = 1,
0 0 1 1, que corresponde a la ecuación: z = 1.
Espero haberte ayudado.
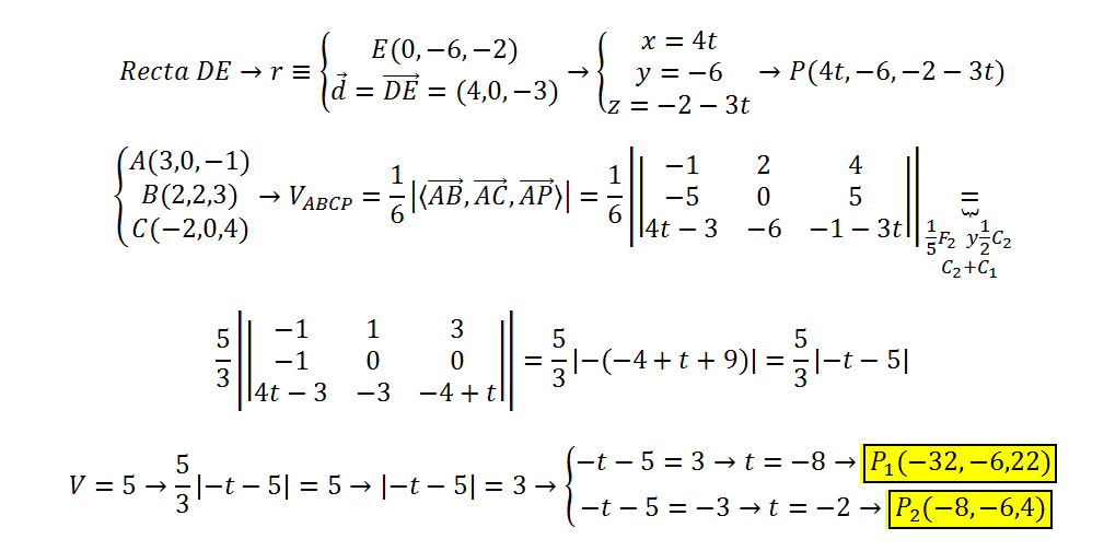
Alguien puede ayudarme con este problema y explicarmelo por favor?
Luis sale de compras y gasta la tercera parte del dinero que lleva en comida, y más tarde la mitad de lo que le queda en ropa. Si vuelve a casa con 30 euros ?Con cuánto dinero salió y qué fracción le sobró del total?

Puedes llamar x a la cantidad de dinero que tiene Luís al comienzo.
Luego, tienes las cantidades:
gastos en comida: x/3 (observa que le queda: x - x/3 = 2x/3),
gastos en ropa: (1/2)*(2x/3) = x/3,
sobrante: 30 euros.
Luego, observa que la cantidad inicial de dinero (x)ha dividido en tres partes: gastos en comida (x/3), gastos en ropa (x/3) y sobrante (30 euros),
por lo que puedes plantear la ecuación:
x = x/3 + x/3 + 30, multiplicas en todos los términos de la ecuación por 3 y queda:
3x = x + x + 90, haces pasajes de términos y queda:
x = 90 euros, que es la cantidad inicial de dinero que tenía Luís;
luego, observa que las cantidades son:
gastos en comida: 90/3 = 30 euros (observa que aquí conserva todavía 60 euros),
gastos en ropa: 90/3 =30 euros (observa que es la mitad de 60 euros, como dice el enunciado),
sobrante: 30 euros;
luego, plantea:
fracción sobrante = (cantidad sobrante) / (cantidad total), reemplazas valores y queda:
fracción sobrante = 30 / 90 = simplificas = 1/3.
Espero haberte ayudado.