Foro de preguntas y respuestas de Matemáticas

logo beUnicoos
Los foros de unicoos se han unificado en nuestra nueva plataforma beUnicoos. Para dejar nuevas preguntas deberás hacerlo allí, donde además podrás encontrar nuevas asignaturas y herramientas para ayudarte más con tus estudios.

  • icon

    Andrea hdz
    el 2/9/17

    demuestra la formula del coseno de la diferencia a partir del coseno de la suma 

    replythumb_up0 voto/sflag
    icon

    Antonius Benedictus
    el 2/9/17

    Te paso la del seno. Es parecida la del coseno. Inténtalo, Andrea, que en el examen vas a estar sola.


    thumb_up0 voto/sflag
    icon

    Andrea hdz
    el 2/9/17

    para hacer la demostración tendría que igualar la formula del coseno de la diferencia a la de la suma ?

    thumb_up0 voto/sflag
  • icon

    julio
    el 2/9/17

    Alguien me dice porque el valor real del ej. 8 es √2  ?? Gracias


    replythumb_up0 voto/sflag
    icon

    David
    el 27/9/17

    Porque es el valor exacto que quieres aproximar... 

    thumb_up0 voto/sflag
  • icon

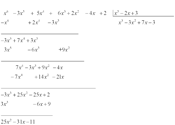
    Marcosss Martinez
    el 2/9/17

    alguien me ayuda con la siguiente division porfavor?


    replythumb_up0 voto/sflag
    icon

    César
    el 2/9/17


    thumb_up1 voto/sflag
  • icon

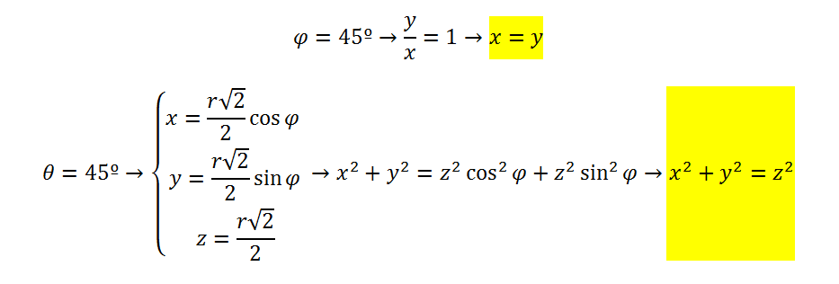
    Andres Sampayo
    el 2/9/17

    alguien me puede explicar como sacar el numero que multiplica a la Z

    replythumb_up0 voto/sflag
    icon

    Antonius Benedictus
    el 2/9/17


    thumb_up0 voto/sflag
  • icon

    Andrea hdz
    el 2/9/17

    ayuda con este ejrcicom gracias 

    replythumb_up0 voto/sflag
    icon

    Fermat
    el 2/9/17

    Solo tienes que derivar la función e igualarla a cero. (Puntos estacionarios)

    thumb_up0 voto/sflag
    icon

    Andres Sampayo
    el 2/9/17

    e3x-1(6x2+x-1) = 0

    resolviendo esa ecuacion

    thumb_up0 voto/sflag
  • icon

    Blanca Rodríguez Fernández
    el 2/9/17

    Alguien me ayuda con esta operacion de productos notables? no entiendo como se hace.


    replythumb_up0 voto/sflag
    icon

    Andres Sampayo
    el 2/9/17

    9x4-25x6


    http://www.vitutor.com/ab/p/a_9.html

    se realiza usando la suma por diferencia, el primer miembro al cuadrado menos el segundo al cuadrado (3x2)2=9x4 y (5x4)2 = 25x6

    thumb_up0 voto/sflag
  • icon

    Andres Sampayo
    el 2/9/17

    alguien me puede brindar ayuda?

    replythumb_up0 voto/sflag
    icon

    Antonius Benedictus
    el 2/9/17


    thumb_up0 voto/sflag
    icon

    Antonius Benedictus
    el 2/9/17

    Del 46, el a) y el b) son inmediatos.

    ¡Ojo al c)!

    Te doy dos posibles respuestas:


    thumb_up0 voto/sflag
    icon

    Andres Sampayo
    el 2/9/17

    Me podrias dar un inicio o ayudar con el B del 47?


    thumb_up0 voto/sflag
    icon

    Antonius Benedictus
    el 2/9/17


    thumb_up0 voto/sflag
    icon

    Andres Sampayo
    el 2/9/17

    Muchas gracias


    thumb_up1 voto/sflag
  • Usuario eliminado
    el 2/9/17

    necesito resolver esta ecuación

    sinx·cosx=1/2

    replythumb_up0 voto/sflag
    icon

    Adrián Márquez Rodríguez
    el 2/9/17

    Primero pasas el 2 hacia el otro lado y te queda: 2sinxcosx=1, esta es una identidad que tienes que aprender 2sinxcosx=sin(2x)

    Entonces tienes que: sin(2x)=1, luego: 2x=arcsin(1) finalmente x=pi/4.

    thumb_up0 voto/sflag
  • icon

    Sergio Gonzalez
    el 2/9/17
    flag

    Me ayudan por favor: Calcula las coordenadas de "D" para que el cuadrilatero de vértices A (-1,2), B (4,-1), C (5,2) y D sea un paralelograma

    replythumb_up0 voto/sflag
    icon

    Antonius Benedictus
    el 2/9/17

    Pon foto del enunciado original. Es preciso saber si los vértices A, B, C y D son o  no consecutivos.

    thumb_up0 voto/sflag
    icon

    Sergio Gonzalez
    el 2/9/17

    Lo dibujo y ya está? 

    thumb_up0 voto/sflag
    icon

    Antonius Benedictus
    el 2/9/17


    thumb_up0 voto/sflag
  • icon

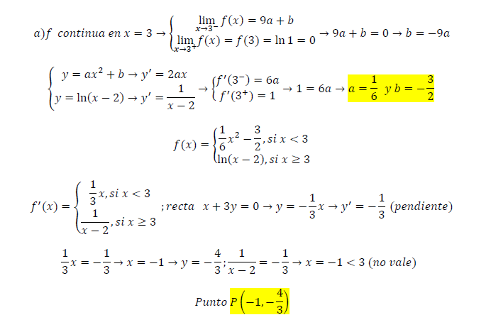
    Iria Vizcaino
    el 2/9/17

    Holaa podrían ayudarme con este ejercicio? Ya he llegado a saber que a=1/6 y b=-3/2. Gracias! 

    replythumb_up0 voto/sflag
    icon

    Antonius Benedictus
    el 2/9/17

    Isto é da Selectividade Galega de Xuño:

    Un saúdo, Iria.

    thumb_up1 voto/sflag