Foro de preguntas y respuestas de Matemáticas

logo beUnicoos
Los foros de unicoos se han unificado en nuestra nueva plataforma beUnicoos. Para dejar nuevas preguntas deberás hacerlo allí, donde además podrás encontrar nuevas asignaturas y herramientas para ayudarte más con tus estudios.

  • icon

    ROSARIO
    el 1/9/17

    Hola. Ayuda por favor para una función logarítmica. Cálculo segunda derivada. Adjunto archivo. Gracias.

    replythumb_up0 voto/sflag
    icon

    Antonius Benedictus
    el 1/9/17


    thumb_up2 voto/sflag
    icon

    ROSARIO
    el 1/9/17

    Muchas gracias. Saludos

    thumb_up1 voto/sflag
  • icon

    Blanca Rodríguez Fernández
    el 1/9/17

    Alguien me podría ayudar por favor?

    Halla la razón y el primer término de una progresión geométrica en la que el segundo término vale 6 y el quinto 162.

    replythumb_up0 voto/sflag
    icon

    Guillem De La Calle Vicente
    el 1/9/17


    thumb_up0 voto/sflag
    icon

    Blanca Rodríguez Fernández
    el 2/9/17

    Gracias

    thumb_up0 voto/sflag
  • icon

    Marcosss Martinez
    el 1/9/17

    Alguien me ayuda?

    Encuentra el término general de la siguiente progresión: 2/5, 1, 8/5, 11/5... (Hazlo con fracciones).

    replythumb_up0 voto/sflag
    icon

    Guillem De La Calle Vicente
    el 1/9/17


    thumb_up1 voto/sflag
  • icon

    Guillem De La Calle Vicente
    el 1/9/17

    Suponga que f es una función par, g es una función impar y que tanto f como g están definidas en toda la recta real. Las siguientes funciones ¿son pares, impares o ninguna de las dos cosas?

    1. f∘g,

    2. g∘f

    replythumb_up0 voto/sflag
    icon

    Antonius Benedictus
    el 1/9/17


    thumb_up0 voto/sflag
  • icon

    Marcosss Martinez
    el 1/9/17

    Alguien me podría ayudar y explicar estás operaciones?

    A) En una progresión aritmética conocemos los términos a5= 12 y a12=40. Calcula la diferencia y el primer término.
    B) Encuentra el término general de la siguiente progresión: 2/5, 1, 8/5, 11/5... (Hazlo con fracciones).

    GRACIAS 

    replythumb_up0 voto/sflag
    icon

    César
    el 1/9/17

  • icon

    Blanca Rodríguez Fernández
    el 1/9/17

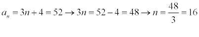
    Alguien podría ayudarme por favor? 

    En la progresión an=3n+4, Qué término vale 52?

    replythumb_up0 voto/sflag
    icon

    César
    el 1/9/17


    thumb_up0 voto/sflag
  • icon

    Andrea hdz
    el 1/9/17

    necesito ayuda con el planteamiento de este ejercicio gracias!

    replythumb_up0 voto/sflag
    icon

    César
    el 1/9/17


    thumb_up0 voto/sflag
  • icon

    Andrea hdz
    el 1/9/17

    Una inecuación cuya solución sea un segmento y una recta?

    replythumb_up0 voto/sflag
    icon

    Ángel
    el 2/9/17

    ¿Es ese el enunciado original?

    Desde la perspectiva de la geometría, una recta es producto de la unión de infinitos segmentos y puntos; el segmento, en cambio, sólo es una porción de recta unida por un par de puntos.


    Con la inecuación y≤x obtendríamos una recta (o unión infinita de segmentos) que comprendería desde la bisectriz del tercer cuadrante (225º) hasta la del primer cuadrante (45º), ambas incluidas (estas bisectrices son iguales a la recta referida)






    thumb_up0 voto/sflag
    icon

    Andrea hdz
    el 2/9/17

    el enunciado me pide una inecuación cuya solución sea un segmento y una recta a la misma vez  gracias!

    thumb_up0 voto/sflag
    icon

    Ángel
    el 2/9/17

    Los más parecido para cumplir el enunciado con una inecuación es eso, y con dos inecuaciones quedaría definida únicamente la recta, de esta forma:

    Todos los números reales menos la unión de x  e  y da lugar a la recta x=y    ----------->  ℛ - (x<y + x>y)=   "recta x=y"


    ((disculpad la falta de rigor en la declaración de variables, pero creo que así se entenderá mejor))


    thumb_up0 voto/sflag
  • icon

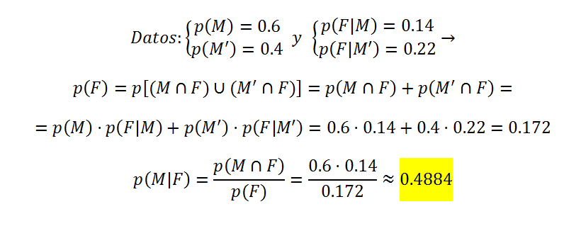
    Camila Acosta
    el 1/9/17

    Hola, me podrían ayudar con este problema

    una población está compuesta en un 60% de mujeres. El 14% de las mujeres y el 22% de los hombres son fumadores. Si una persona elegida al azar fuma, la probabilidad de que sea mujer es:

    replythumb_up0 voto/sflag
    icon

    Antonius Benedictus
    el 1/9/17


    thumb_up1 voto/sflag
  • icon

    julio
    el 1/9/17

    Me pueden ayudar a comprobar estos ejs por favor gracias 


    replythumb_up0 voto/sflag
    icon

    Guillem De La Calle Vicente
    el 1/9/17


    thumb_up0 voto/sflag
    icon

    julio
    el 2/9/17

    Puedes decirme porque √2 es el valor real? Gracias

    thumb_up0 voto/sflag
    icon

    julio
    el 2/9/17

    Porque el valor real es √2 ? Gracias


    thumb_up0 voto/sflag