Foro de preguntas y respuestas de Matemáticas

logo beUnicoos
Los foros de unicoos se han unificado en nuestra nueva plataforma beUnicoos. Para dejar nuevas preguntas deberás hacerlo allí, donde además podrás encontrar nuevas asignaturas y herramientas para ayudarte más con tus estudios.

  • icon

    JorgeS
    el 30/8/17

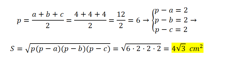
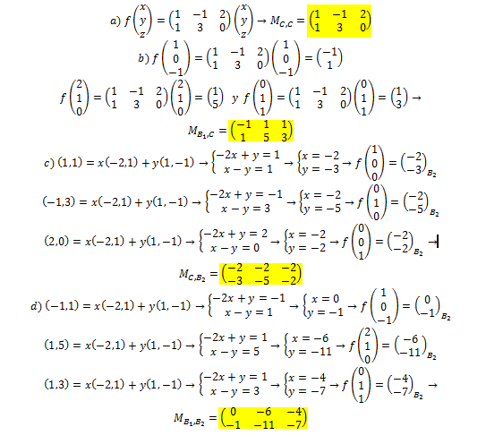
    Pueden corregirme este ejercicio? Gracias

    Esto es lo que yo he hecho:


    replythumb_up0 voto/sflag
    icon

    Ángel
    el 30/8/17


    thumb_up0 voto/sflag
    icon

    Antonius Benedictus
    el 30/8/17

    El límite por la derecha en x=0  es  b+1.

    thumb_up0 voto/sflag
    icon

    Guillem De La Calle Vicente
    el 30/8/17


    thumb_up0 voto/sflag
  • icon

    Sarqui
    el 30/8/17

     me podeis resolver el ejercicio 16 (2º Bachillerato)

    replythumb_up0 voto/sflag
    icon

    Antonius Benedictus
    el 30/8/17


    thumb_up0 voto/sflag
  • icon

    Guillem De La Calle Vicente
    el 30/8/17


    replythumb_up0 voto/sflag
    icon

    Antonius Benedictus
    el 30/8/17


    thumb_up0 voto/sflag
  • icon

    Guillem De La Calle Vicente
    el 30/8/17


    replythumb_up0 voto/sflag
    icon

    Ángel
    el 30/8/17


    thumb_up0 voto/sflag
    icon

    Fermat
    el 30/8/17

    Guillem abstente de enviarnos preguntas tan peregrinas sino te sugiero que cambies tu formación de universitaria a bachillerato.


    Saludos!

    thumb_up0 voto/sflag
  • icon

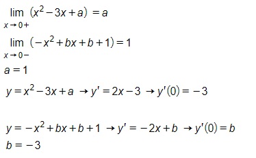
    Pedro
    el 30/8/17

    Pueden ayudarme a comprobar , muchas gracias

    replythumb_up0 voto/sflag
    icon

    Antonius Benedictus
    el 30/8/17

    icon

    Pedro
    el 30/8/17

    Pero una pregunta pero puedo sacar de la formula general las cordenadas del vector con esta 'formula"   (-B,A) ??? 

    Es una duda respecto a otro ejercicio gracias


    thumb_up0 voto/sflag
  • icon

    Andrea hdz
    el 30/8/17

    como se interpretaria a la hora de represenar una gráfica que hay una asintota en x=2 y  x=-2??

    replythumb_up0 voto/sflag
    icon

    Desencadenado
    el 30/8/17

    Son lineas verticales en x= 2 y x=-2

    thumb_up0 voto/sflag
    icon

    Desencadenado
    el 30/8/17


    thumb_up0 voto/sflag
    icon

    Fermat
    el 30/8/17

    Son rectas imaginarias a la que la función tiende en el infinito. Se suelen representar con líneas discontinuas.

    thumb_up0 voto/sflag
  • icon

    francisco cano esteves
    el 30/8/17

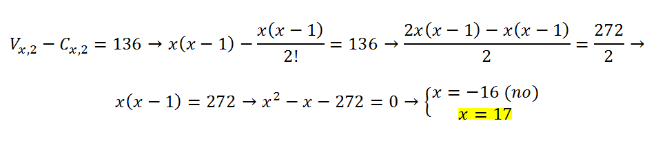
    alguien me puede ayudar con este ejercicio: Vx2-Cx2=136 Gracias


    replythumb_up0 voto/sflag
    icon

    Antonius Benedictus
    el 30/8/17


    thumb_up0 voto/sflag
  • icon

    Paula Hidalgo
    el 30/8/17

    Hallar el vector v de modulo 5 que sea paralelo al a= (36, -27) 

    Ayuda con este ejercicio por favor, 

    Gracias 

    replythumb_up0 voto/sflag
    icon

    Pedro
    el 30/8/17

    El vector seria (3,-4) paralelo al otro salu2

    thumb_up1 voto/sflag
    icon

    Antonius Benedictus
    el 30/8/17


    thumb_up1 voto/sflag
    icon

    Paula Hidalgo
    el 30/8/17

    Antonio, ¿ podrías incluir una explicación?

    Gracias

    thumb_up0 voto/sflag
    icon

    Antonius Benedictus
    el 30/8/17

    Dos vectores son paralelos cuando las coordenadas de uno don proporcionales a las del otro. Esto es, si existe k (número real), tal que u=kv.

    thumb_up1 voto/sflag
  • icon

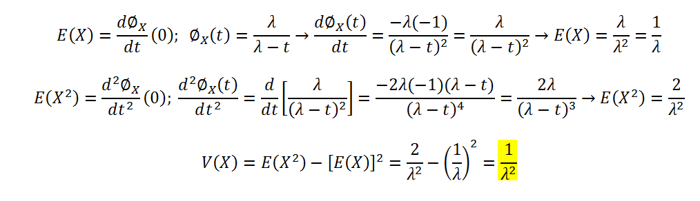
    JorgeS
    el 30/8/17

    Pueden ayudarme a encontrar los parámetros de esta función?

    Gracias

    replythumb_up0 voto/sflag
    icon

    Antonius Benedictus
    el 30/8/17


    thumb_up0 voto/sflag
  • icon

    Pedro
    el 30/8/17

    Me pueden ayudar comprobrar? Muchas gracias.

    replythumb_up0 voto/sflag
    icon

    Antonius Benedictus
    el 30/8/17


    thumb_up0 voto/sflag