
Te he puesto un enlace con la fórmula.
Si no hay soluciones racionales (Ruffini), es mejor utilizar métodos de aproximación:
http://www.ugr.es/~prodelas/AnNumCaminos/ftp/Tema2.htm
Esto no es para explicar en una entrada.
Ejercicio 4. ii)
[Ln(1-x2)]/3x
Dominio
1-x2 tiene que ser mayor que cero (por estar dentro del logaritmo neperiano)
3x tiene que ser distinto de cero (por estar en el denominador)
Para todos los demás valores de x la función estará definida y por lo tanto x pertenecerá al dominio de ℛ
1-x2>0
1>x2
x> -1 y x< 1 -----------> (-1,1)
3x≠0
x≠0 ----------------------> (-inf,0) U (0,inf)
Entonces:
(-1,1) y (-inf,0) U (0,inf) = {(-1,1)} ∩ {(-inf,0) U (0,inf)} = (-1,0) U (0,1)

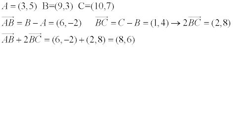
Tienes la expresión del vector:
v = AB + 2*BC = sustituyes las expresiones de los vectores en función de las coordenadas de los puntos que los determinan:
= < 9-3 , 3-5 > + 2*< 10-9 , 7-3 > = resuelves componentes y queda:
= < 6 , -2 > + 2*< 1 , 4 > = efectúas el producto en el segundo término y queda:
= < 6 , -2 > + < 2 , 8 > = efectúas la suma y queda:
= < 6+2 , -2+8 > = < 8 , 6 >.
Espero haberte ayudado.
Hola! Alguien podría decirme cómo es esta gráfica?
y=f(x)= 2-xIxI ( o sea, que x está multiplicada por su valor absoluto)

Recuerda la definición de valor absoluto:
|x| =
x si x ≥ 0
-x si x < 0;
luego, tienes que la función cuya expresión tienes en el enunciado tiene que su expresión también tiene dos ramas:
y = f(x) = 2 - x*|x| =
2 - x*x si x ≥ 0
2 - x*(-x) si x < 0;
luego resuelves en las expresiones de las ramas y finalmente tienes:
y = f(x) = 2 - x*|x| =
2 - x2 si x ≥ 0
2 + x2 si x < 0;
y observa que las gráficas de las ramas son trazos parabólicos con punto de corte en x = 0, al que le corresponde y 2.
Solo queda que confecciones el gráfico.
Espero haberte ayudado.

B)
Tienes la función continua en todo el conjunto de los números reales cuya expresión es:
f(x) = x4 - 3*x - 1, luego evalúa para algunos valores de x, por ejemplo:
f(1) = 14 - 3*1 - 1 = 1 - 3 - 1 = - 3 < 0,
f(2) = 24 - 3*2 - 1 = 16 - 6 - 1 = 9 > 0;
luego, como tienes que la función es continua en el intervalo cerrado [1,2],
y tienes que la función toma valores con signos distintos en los extremos de dicho intervalo,
aplicas el Teorema de Bolzano y puedes concluir que
existe c perteneciente al intervalo (1,2) tal que f(c) = 0 (1),
con lo que tienes que existe una raíz real c de la función;
luego sustituyes el valor c en la expresión de la función, y la ecuación señalada (1) queda:
c4 - 3*c - 1 = 0,
por lo que tienes que el valor c es una solución real de la ecuación de tu enunciado.
Espero haberte ayudado.

C)
Observa que las ramas de la función tienen expresiones continuas, por lo que solo debes estudiar la continuidad en los puntos de corte entre ramas, y para ello debes plantear los límites laterales de la función para x tendiendo a cero y para x tendiendo a uno, que deben coincidir con los valores que toma la función en dichos puntos, respectivamente.
a)
f(0) = 1 + cos(0) = 1 + 1 = 2,
Lím(x→0-) f(x) = Lím(x→0-) (1 + cosx) = 1 + cos(0) = 1 + 1 = 2,
Lím(x→0+) f(x) = Lím(x→0+) ( 2*(a + x) ) = 2*(a + 0) = 2*a,
luego, debe cumplirse que los límites laterales y el valor de la función deben coincidir para que la función sea continua en x = 0, por lo tanto tienes la ecuación:
2*a = 2, divides por 2 en todos los términos y queda: a = 1.
b)
f(1) = b/12 = b/1 = b,
Lím(x→1-) f(x) = Lím(x→1-) ( 2*(a + x) ) = 2*(a + 1) = 2*a + 2 = 2*1 + 2 = 2 + 2 = 4,
Lím(x→0+) f(x) = Lím(x→0+) b/x2 = b/12 = b/1 = b,
luego, debe cumplirse que los límites laterales y el valor de la función deben coincidir para que la función sea continua en x = 1, por lo tanto tienes la ecuación:
b = 4.
Luego, para los valores remarcados, tienes que la expresión de la función continua en todo el conjunto de los números reales queda:
f(x) =
1 + cosx si x ≤ 0
2*(1 + x) si 0 < x < 1
4/x2 si x ≥ 1.
Espero haberte ayudado.
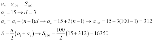
Hola, en una progresión aritmética me piden calcular el término general, hallar el término a100 y también la suma de términos s100. El primer término es 15 y la diferencia 3.
Me piden exactamente lo mismo en una progresión geometrica cuyo primer término es 3 y la razón 2.

Recuerda las expresiones correspondientes a una progresión geométrica (llamamos a1 a su primer elemento y q a la razón):
an = a1*qn-1 (elemento general;
Sn = a1*(1 - qn)/(1 - q ) (suma general de los n primeros elementos).
Luego, tienes en tu enunciado a1 = 3, q = 2, reemplazas valores y queda:
an = 3*2n-1 (elemento general),
Sn = 3*(1 - 2n)/(1 - 2 ) = 3*(1 - 2n)/(-1) = - 3*(1 - 2n) (suma general de los n primeros elementos).
Luego, para n = 100 queda
a100 =3*2100-1 = an =3*299 (elemento número cien);
S100 = - 3*(1 - 2100) = 3*(2100 - 1) (suma de los cien primeros elementos).
Espero haberte ayudado.
es cierto que las funciones logarítmicas presentan una asíntota vertical en todos los valores que anulan la característica?