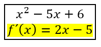
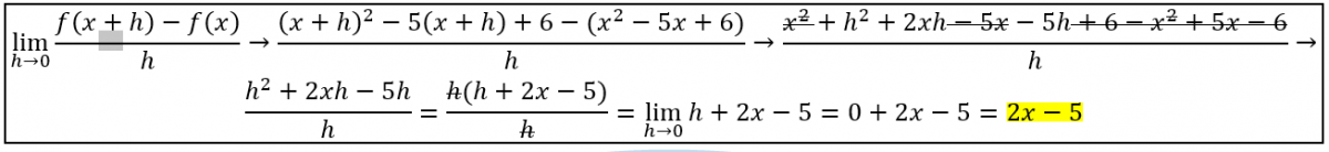
Hola!! Tengo un ejercicio sobre límites que no se como se hace alguien me podría explicar como hacerlo??
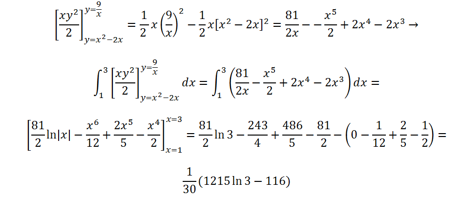
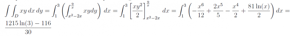
Vuelvo a formular mi pregunta porque creo que antes no me expresé claramente, lo que me gustaría saber es, ¿cómo se integra para pasar del paso "a" al paso "b"? y del paso "b" al "c"?![]()

Alba aunque la solución final sea correcta, el paso b está mal. Lo que aparece en el integrando ya está integrado, esas son las primitivas de x(9/x)^2/2 - x(x^2-2x)^2/2 que faltan evaluarlas entre 1 y 3. Resumiendo, sobra el símbolo de la integral y el dx, sustitúyelo por un corchete con límite inferior y superior 1 y 3, respectivamente.