Hola,Unicoos me podrian ayudar con esto?? Muchas gracias de antemano !!!
Los datos de la tabla indican el numero de espigas de maiz segun variedad,precoz o tardia, y nivel de infestacion por un determinado hongo( Alto o Bajo):
1)Determinar el espacio muestral
2)Si se extrae una espiga al azar ,calcular las siguientes probabilidades:
a)P(precoz)
b)P(Nivel de infestacion Bajo)
c)P(Precoz y Nivel de Infestacion Bajo)
d)P (Precoz o nivel de infestacion bajo)
e)P (Tardia I Nivel de infestacion A)
3) Si se estraen 2 espigas sin reposicion ,calcular la P (1° tenga Nivel de infestacion Bajo y la 2° tenga Nivel de Infestacion Bajo)
4) El nivel de infestación es independiente de las variedades?
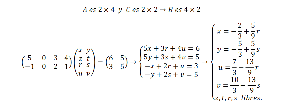
Hola me podrian ayudar con este problema de matrices


Tomas logaritmos en base 2 en ambos miembros, aplicas la propiedad del logaritmo de una potencia, y queda:
3x-5*log2(2) = 9x+4*log2(8), resuelves los segundos factores en ambos miembros y queda:
3x-5*1 = 9x+4*3, resuelves el producto en el primer miembro y queda:
3x-5 = 9x+4*3,
tomas logaritmos en base 3 en ambos miembros, aplicas la propiedad del logaritmo de una potencia en el primer miembro, y del logaritmo de un producto en el segundo miembro, y queda:
(x - 5)*log3(3) = (x + 4)*log3(9) + log3(3), resuelves todos los logaritmos y queda:
(x - 5)*1 = (x + 4)*2 + 1, distribuyes y queda:
x - 5 = 2*x + 8 + 1, haces pasajes de términos, reduces términos semejantes y queda:
- x = 14, multiplicas en ambos miembros de la ecuación por - 1 y queda:
x = - 14.
Espero haberte ayudado.
Buenas tardes,
podrían ayudarme con este ejercicio, tengo la duda en el apartado c).
Querría saber si el resultado es así por alguna propiedad que he obviado o como yo lo planteo en el caso de menor de 64 c) P(z ≤ 63).
Gracias y un saludo.

Tal como te indica el colega Antonio, observa que tratas con una variable aleatoria continua que utilizas como modelo para abordar el problema, por lo tanto no hay diferencia en la probabilidad:
p(X ≤ 64) = p(X < 64) + p(X = 64) = p(X < 64) + 0 = p(X < 64).
Y recuerda que cuando indicas: "X < 64", te refieres al intervalo de números reales (no son solamente enteros): (-∞,64).
Luego puedes estandarizar:
X < 64, luego:
(X - 70)/30 < (64 - 70)/30, luego:
Z < - 6/30, luego:
Z < - 0,2, y observa que la variable aleatoria Z es normal, con media 0 y desviación típica 1.
Luego, puedes continuar con la tarea:
p(X < 64) = p(Z < - 0,2) = consultas la tabla de valores de la distribución normal estándar, y no olvides que tienes una población de quinientos.
Espero haberte ayudado.
Buenas tardes, ayúdenme con este ejercicio:
f(x)= 2x-5/x(x-3) cuál es el dominio, sacándolo por regla del cementerio, o regla de la rejilla.
Gracias de antemano.
Sacamos 3 cartas, sin reposición, de una baraja española de 48 cartas. ¿Cuál es la probabilidad de que nos salga exactamente la secuencia siguiente: primeramente un rey, después un as y luego otro rey?