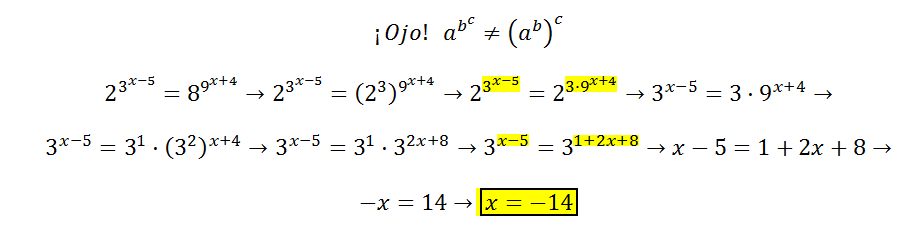
Un ejercicio que parecía aparentemente fácil me ha estado dando quebraderos de cabeza ... Se trata de manejar las propiedades de las potencias, potencia de una potencia, en general. La solución del ejercicio es x=-14. A ver si conseguís aclararme esto!
Aprovecho para dejaros otra duda en relación a este "curioso" ejercicio, y es que 2 funciones que tendrían que ser semejantes resultan tener gráficas distintas, que aunque las ramas infinitas tiendan igual, no poseen la misma asíntota horizontal por la izquierda, y por tanto el mismo punto de corte con el eje OY.
Gracias.
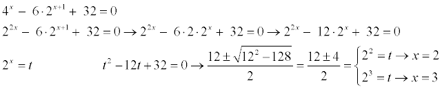
Hola me pueden ayudar a resolver esta ecuación
4x - 6•2x+1+ 32=0

Comienza por tratar los dos primeros término por separado (observa que las bases de los factores exponenciales son potencias de 2):
4x = (22)x = (2x)2,
6*2x+1 = 6*2x*2 = 6*2*2x = 12*2x.
Luego sustituyes, y la ecuación del enunciado queda:
(2x)2 - 12*2x + 32 = 0.
Luego plantea la sustitución (cambio de incógnita): w = 2x, sustituyes y queda:
w2 - 12*w + 32 = 0,
que es una ecuación polinómica cuadrática cuyas soluciones son:
a)
w = 4, sustituyes y queda: 2x = 4 = 22, de donde tienes: x = 2;
b)
w = 8, sustituyes y queda: 2x = 8 = 23, de donde tienes: x = 3.
Espero haberte ayudado.

Tienes la ecuación diferencial de primer grado y de primer orden:
x*y ' - y*tan( ln(y) ) = 0.
Puedes plantear la sustitución (cambio de variable):
y = ew, de donde tienes: y ' = ew*w ', y observa que también tienes: ln(y) = w (1),
luego sustituyes y la ecuación diferencial queda:
x*ew*w ' - ew*tan(w) = 0,
haces pasaje de término y queda:
x*ew*w ' = ew*tan(w),
haces pasajes del factor exponencial como divisor (observa que es distinto de cero, y que tienes simplificación) y queda:
x*w ' = tan(w),
escribes la expresión de la derivada como cociente de diferenciales, y la expresión de la tangente en función del seno y del coseno, y queda:
x*dw/dx = sen(w)/cos(w),
haces pasaje de factores y de divisores a fin de separar variables, y queda:
(cosw/senw)*dw = (1/x)*dx,
integras en ambos miembros (observa que en el primer miembro debes aplicar la susitución: p = senw) y queda:
ln( sen(w) ) = ln(x) + ln(C),
aplicas la propiedad del logaritmo de un producto en el segundo miembro y queda:
ln( sen(w) ) = ln(x),
compones en ambos miembros con la función inversa del logaritmo natural y queda:
sen(w) = C*x,
compones en ambos miembros con la función inversa del seno ( observa que empleamos la notación: sen-1(C*x) = arcsen(C*x) ) y queda:
w = arcsen(C*x),
sustituyes la expresión señalada (1) y queda:
ln(y) = arcsen(C*x),
compones con la función inversa del logaritmo natural en ambos miembros y queda:
y = earcsen(C*x),
que es la expresión de la solución general de la ecuación diferencial de tu enunciado,
luego, observa que si planteas: C = 2, tienes la solución particular:
y = earcsen(2*x),
que es la expresión de la solución particular que tienes en tu enunciado.
Espero haberte ayudado.

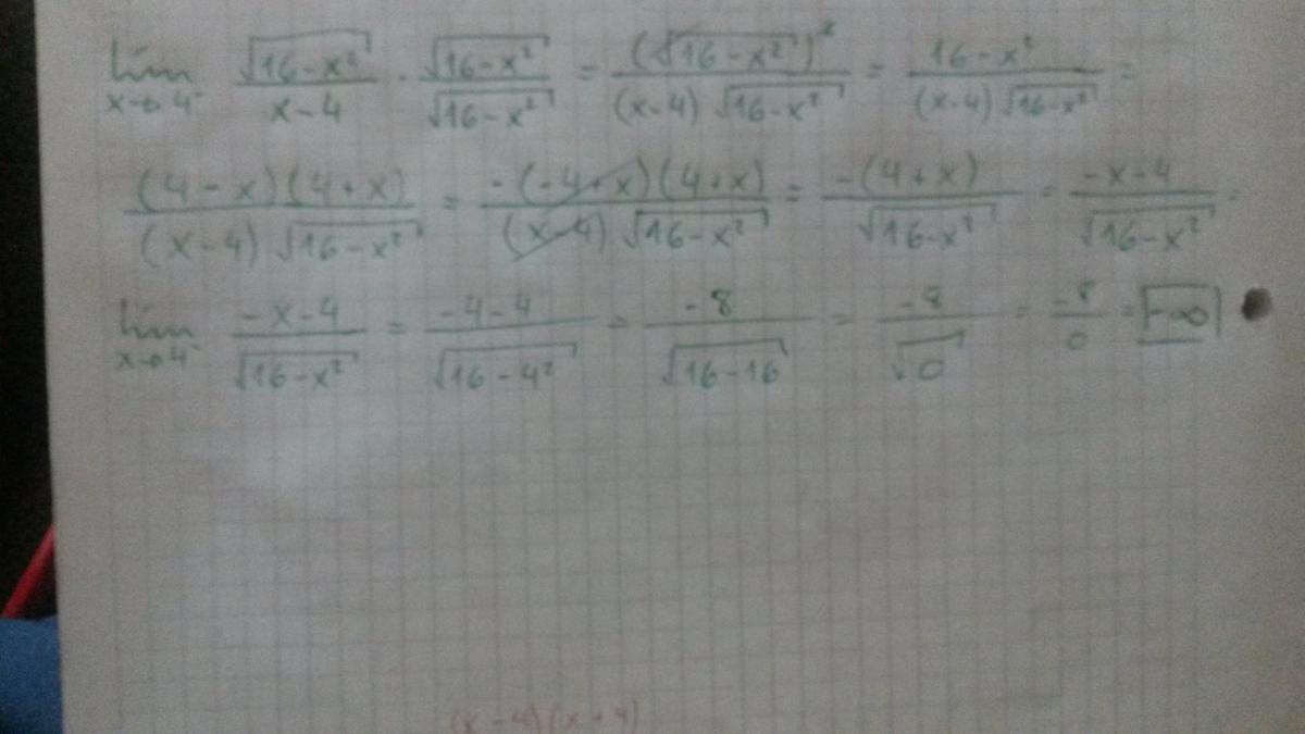
Vamos con otra opción:
Puedes multiplicar al numerador (N) y al denominador (D) por (x + 4), y luego operar en el numerador y en el denominador:
N = √(16 - x2)*(x + 4) = (16 - x2)1/2*(x + 4),
D = (x - 4)*(x + 4) = x2 - 16 = - (-x2 + 16) = (- 1)*(16 - x2)1.
Luego, tienes el límite:
Lím(x→4-) √(16 - x2) / (x - 4) = (observa que es indeterminado ya que tanto el numerador como el denominador tienden a 0)
multiplicas al numerador y al denominador por (x + 4), operas en el denominador, y queda:
= Lím(x→4-) [ (16 - x2)1/2*(x + 4) ] / [ (- 1)*(16 - x2)1 ] =
resuelves la división entre potencias con bases iguales y queda:
= Lím(x→4-) [ (x + 4) ] / [ (- 1)*(16 - x2)1/2 ] = - ∞,
ya que tienes que el numerador es positivo y tiende a + 8 por izquierda,
y tienes que el denominador es negativo y tiende a 0 por izquierda.
Espero haberte ayudado.
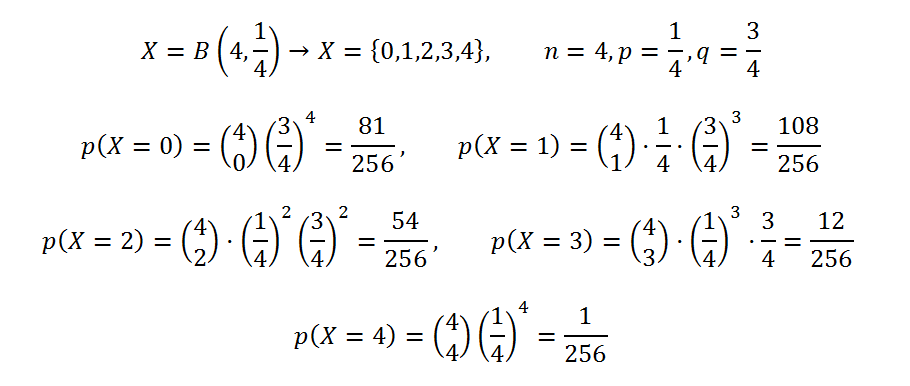
Supongamos que en una determinada especie de conejos el color negro es dominante sobre el color blanco. Tenemos un conejo y una coneja híbridos y, por tanto, negros. En esta situación sabemos que la probabilidad de que un hijo sea blanco es de 1/4.
Supongamos que esta pareja de conejos han tenido 4 hijos, y consideramos la variable aleatoria X número de conejitos blancos entre los 4. Calcular la función de probabilidad de la variable aleatoria X.
Dibuje las gráficas de las funciones siguientes.
1. f(x)=1-x³
2. f(x)=(x+2)³
3. f(x)=√(x)+1
4. f(x)=√(x+1)