Un estudiante está resolviendo un examen de tipo test con cuatro respuestas posibles por pregunta. La probabilidad de que realmente sabe la respuesta de una pregunta es 1/3. Cuando el estudiante no sabe la respuesta, elige uno al azar de 4.
Dada una pregunta específica, ¿cuál es la probabilidad de que el estudiante responda correctamente?
Indique qué simetría (si es que existe alguna) tiene la gráfica de f(x). En particular ¿es f par o impar?
1. f(x)=1/(x²-1)
2. f(x)=1/(x-2)
3. f(x)=1/(x+4)
f(-x)= f(x) ---->PAR
f(-x)= -f(x) ----->IMPAR
1.
f(x)=1/(x²-1)
f(-x)=1/[(-x)²-1)]= 1/(x²-1)
Luego, f(-x)= f(x) ---->PAR --> Simétrica con respecto al eje Y
2.
f(x)=1/(x-2)
f(-x)= 1/(-x-2)= -1/(x+2)
-f(x)= -1/(x-2)
Como -1/(x+2) ≠ 1/(x-2) y -1/(x+2) ≠ -1/(x-2), entonces no es par ni impar
Es simétrica respecto a x=2
Es la función 1/x desplazada dos unidades a la derecha en el eje X
3.
f(x)=1/(x+4)
f(-x)= 1/(-x+4)=
-f(x)= -1/(x+4)
Como 1/(-x+4) ≠ 1/(x+4) y 1/(-x+4) ≠ -1/(x+4), entonces no es par ni impar
Es simétrica respecto a x= -4
Es la función 1/x desplazada cuatro unidades a la izquierda en el eje X
18 /1 = 18 monedas de 1 euro
7.20 / 0.1 = 72 monedas de 10 centimos de euro
4.95 / 0.05 = 99 monedas de 5 centimos de un euro
Ahora dice que cuantos amigos han participado como maximo, esto lo hallas con el MCD entre esos tres numeros, que es 9
entonces lo que puso cada uno fue
18/9 = 2 monedas de 1 euro
72/9 = 8 monedas de 10 centimos de euro
99/9 = 11 monedas de 5 centimos de euro

Llamemos:
x: cantidad total de alumnos,
n: cantidad de alumnos con calificación notable (observa que tienes: n = 45),
f: a la fracción de alumnos que ha obtenido calificación notable (observa que tienes: f = 1/5).
Luego, plantea al ecuación correspondiente a la fracción de alumnos que obtuvo calificación notable:
f = n/x, haces pasaje de divisor como factor y queda:
x*f = n, haces pasaje de factor como divisor y queda:
x = n/f,
reemplazas valores y queda:
x = 45/(1/5) = 45*5 = 225 alumnos.
Espero haberte ayudado.

Puedes llamar:
W, al trabajo que se debe realizar,
x: a la velocidad de trabajo de Juan (que tarda: t = 6 min en preparar los obsequios, el solo),
y: a la velocidad de trabajo de Pedro (que tarda: t = 12 min en preparar los obsequios, él solo),
Luego puedes llamar:
x+y: a la velocidad de trabajo de los chicos en conjunto,
T: al tiempo que tardan en realizar el trabajo si lo hacen juntos.
Luego puedes plantear:
W = x*6 (la tarea la realiza solo Juan), haces pasaje de factor como divisor y queda: W/6 = x (1)
W = y*12 (la tarea la realiza solo Pedro), haces pasaje de factor como divisor y queda: W/12 = y (2)
W = (x + y)*T, distribuyes en el segundo miembro y queda: W = x*T + y*T (3).
Luego sustituyes las expresiones señaladas (1) (2) en la ecuación señalada (3) y queda:
W = (W/6)*T + (W/12)*T, multiplicas por 12 en todos los términos de la ecuación y queda:
12*W = 2*W*T + W*T, divides por W en todos los términos de la ecuación y queda:
12 = 2*T + T, reduces términos semejantes en el segundo miembro y queda:
12 = 3*T, haces pasaje de factor como divisor y queda:
4 = T.
Por lo que tienes que el tiempo que tardan los dos chicos trabajando juntos es:
T = 4 minutos,
Espero haberte ayudado.

Vamos con una orientación.
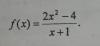
Tienes una función cuyo dominio es: D = (-∞,-1) u (-1,+∞),
y cuya expresión es una fracción algebraica, y observa que su numerado es de grado 2 y que su denominador es de grado
1, por lo que puedes efectuar la división por medio de la Regla de Ruffini, y obtendrás:
que el cociente es el polinomio: C(x) = 2x - 2, y que el resto es: R = - 2.
Luego, puedes reescribir la expresión de la función:
f(x) = ( 2x2 - 4 ) / (x + 1) = ( (2x - 2)*(x + 1) - 2 ) / (x + 1),
distribuyes el denominador, simplificas en el primer término y queda:
f(x) = 2x - 2 - 2/(x + 1), que es la forma estándar para esta función.
Luego, pasemos al estudio asintótico:
Observa que cuando x tiende a -infinito, tienes que el tercer término tiende a cero,
y que la expresión conformada por los dos primeros términos tiende a - infinito,
Observa que cuando x tiende a +infinito, tienes que el tercer término tiende a cero,
y que la expresión conformada por los dos primeros términos tiende a +infinito,
por lo tanto, tienes que la recta cuya ecuación es:
y = 2x - 2,
es una asíntota oblicua de la gráfica de la función.
Observa que cuando x tiende a - 1 tanto por izquierda como por derecha,
tienes que el tercer término tiende a + infinito (por izquierda) y tiende a - infinito (por derecha),
y que la expresión conformada por los dos primeros términos tiende a - 4,
por lo tanto, tienes que la recta cuya ecuación es:
x = - 1,
es una asíntota vertical de la gráfica de la función.
Espero haberte ayudado.
https://es.wikipedia.org/wiki/Deducci%C3%B3n_del_m%C3%B3dulo_de_la_suma
Sustituye en la última fórmula sabiendo que el módulo de los vectores es 1 (porque son unitarios) i el módulo de la suma es raíz de 3, y encuentras el ángulo.
Saludos.

Tienes el módulo de la suma de los dos vectores:
|u + v| = √(3), haces pasaje de potencia como raíz y queda:
|u + v|2 = 3, aplicas la expresión del cuadrado del módulo de un vector como producto escalar:
(u + v) • (u + v) = 3, distribuyes el producto escalar y queda:
u•u + u•v + v•u + v•v = 3, desarrollas los productos escalares y queda:
|u|*|u|*cos0° + |u|*|v|*cosα + |v|*|u|*cosα + |u|*|u|*cos0° = 3,
reemplazas los valores de los módulos y queda:
1*1*cos0° + 1*1*cosα + 1*1*cosα + 1*1*cos0° = 3,
resuelves en cada término y queda:
1 + cosα + cosα + 1 = 3, reduces términos semejantes, haces pasaje de término y queda:
2*cosα = 1, haces pasaje de factor como divisor y queda:
cosα = 1/2, compones en ambos miembros con la función inversa del coseno y queda:
α = 60°.
Espero haberte ayudado.
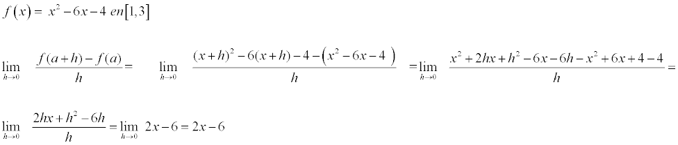
Buenas tengo una duda con esta derivada, muchas gracias de antemano
f(x)= x2-6x-4 en [1,3]

Observa que tienes una función continua, cuyo dominio es un intervalo cerrado.
Luego, por reglas de derivación, separas en términos, derivas término a término, y la expresión de la función derivada queda:
f ' (x) = 2x - 6*1 - 0 = 2x - 6,
pero observa que su dominio es el intervalo abierto: ]1,3[,
y en los extremos solo existen algunas derivadas laterales: por derecha en x = 1, y por izquierda en x = 3.
Espero haberte ayudado.