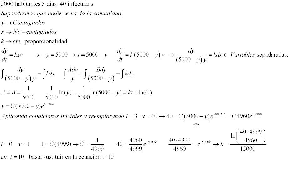
Hola unicoos , si tengo un P y Q numeros distintos y enteros positivos entonces al momento de igualar P/Q = ∑ desde n=1 hasta un K de (1/7Λn!) , puedo decir que Q= 7Λk! ?? alguien me puede explicar ?

¡Hola! Nos encantaría ayudarte, pero no solemos responder dudas universitarias que no tengan que ver específicamente con los vídeos que David ha grabado como excepción. O de otras asignaturas que no sean Matemáticas, Física y Química. Lo sentimos de corazón… Esperamos que lo entiendas.
Ojalá algún unicoo universitario se anime a ayudarte (de hecho, lo ideal es que todos los universitarios intentarais ayudaros los unos a los otros).

Tienes la sumatoria:
∑(n=1,k) (1/7n) = ∑(n=1,k) (1/7)n =
observa que es una suma geométrica cuya razón es q = 1/7 < 1, por lo que su resultado es:
= (1/7)*(1 - (1/7)k)/(1 - 1/7) =
resuelves el divisor y queda:
= (1/7)*(1 - (1/7)k)/(6/7) =
resuelves la división entre el primer factor y el divisor, y queda:
= (1/6)*(1 - (1/7)k) =
distribuyes la potencia en el segundo término del segundo factor y queda:
= (1/6)*( (7k - 1)/7k ) =
resuelves el producto de expresiones fraccionarias y queda:
= (1*( (7k - 1) ) / (6*7k) =
resuelves el producto en el numerador y queda:
= (7k - 1) / (6*7k) = P/Q,
y tienes que los números enteros que componen la fracción resultado son:
P = 7k - 1,
Q = 6*7k.
Espero haberte ayudado.

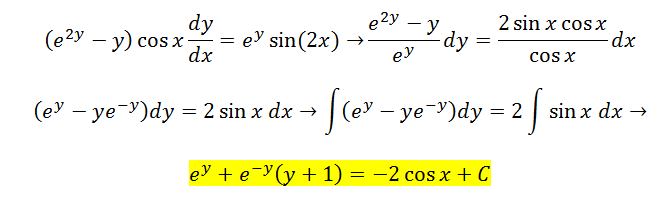
Debes corregir en el segundo miembro en la anteúltima línea de tu desarrollo a fin de corregir el procedimiento, que queda:
(1/2)*ln(1+y2) = ln(|x|) + c, multiplicas por 2 en todos los términos de la ecuación y queda:
ln(1+y2) = 2*ln(|x|) + 2*c, aplicas la propiedad del logaritmo de una potencia en el primer término del segundo miembro, renombras a la constante arbitraria 2*c y queda:
ln(1+y2) = ln(x2) + ln(C), aplicas la propiedad del logaritmo de un producto en el segundo miembro y queda:
ln(1+y2) = ln(C*x2), compones en ambos miembros con la función inversa del logaritmo natural y queda:
1+y2 = C*x2, que es una solución general implícita de la ecuación diferencial de tu enunciado.
Espero haberte ayudado.
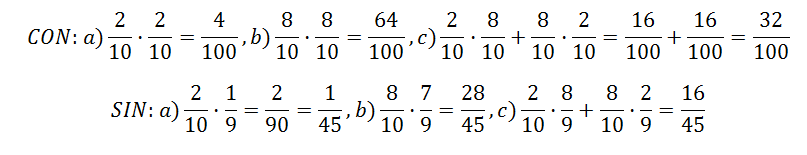
Hola,Unicoos,me ayudarian con esto? Gracias de antemano!
Se disponen de 30 vacas de la raza Holando y 35 de la raza Criolla en un mismo lote.Si se extraen simultaneamente dos vacas al azar,cual es la probabilidad de que:
a) ambas sean Holando
b)Sean de la misma raza
c)Sean de distinra raza
d)La primera sea Holando y la segunda Criolla
e)La primera sea Holando
f) La segunda sea Holando,dado que la primera fue criolla.
Hola, necesito ayuda con este ejercicio de Geometría Analítica, sólo he llegado a hacer la completación de cuadrados y no sé cómo seguir. Gracias.
Hallar las ecuaciones de las rectas tangentes a la circunferencia x^2+y^2-6x-4y+12= 0 trazadas desde el punto (0,1).
Solución: y=1 ; y=3/4x+1

Tienes la ecuación cartesiana implícita de la circunferencia:
x2 + y2 - 6x - 4y + 12 = 0 (1),
Puedes plantear la ecuación cartesiana de una recta que pasa por el punto de coordenadas A(0,1):
y = mx + 1 (2).
Luego sustituyes la expresión señalada (2) en la ecuación señalada (1) y queda:
x2 + (mx + 1)2 - 6x - 4(mx + 1) + 12 = 0, desarrollas el segundo término y el cuarto término, y queda:
x2 + m2x2 + 2mx + 1 - 6x - 4mx - 4 + 12 = 0, agrupas términos semejantes según x, y queda:
(1 + m2)x2 - 2(m + 3)x + 9 = 0, que es una ecuación polinómica cuadrática para la incógnita x, cuyas soluciones quedan:
x = ( 2(m + 3) ± √(4(m+3)2 - 4*(1 + m2)*9) ) / [2(1 + m2)].
Luego plantea la condición para que tenga única solución (observa que sería la abscisa del punto de contacto entre la circunferencia y la recta tangente):
4(m+3)2 - 4*(1 + m2)*9 = 0, divides por 4 en todos los términos de la ecuación, ordenas factores en el segundo término, y queda:
(m + 3)2 - 9*(1 + m2) = 0, desarrollas el binomios elevado al cuadrado, distribuyes el segundo término, y queda:
m2 + 6m + 9 - 9 - 9m2 = 0, reduces términos semejantes (observa que tienes cancelaciones, ordenas términos, y queda:
- 8m2 + 6m = 0, extraes factor común y queda:
- 2m*(4m - 3) = 0, luego, por anulación de un producto, tienes dos opciones:
a)
- 2m = 0, haces pasaje de factor como divisor y queda:
m = 0, que conduce a la recta cuya ecuación es: y = 0x + 1, cancelas el término nulo y queda: y = 1;
b)
4m - 3 = 0, haces pasaje de término y queda: 4m = 3, haces pasaje de factor como divisor y queda:
m = 3/4, que conduce a la recta cuya ecuación es: y = (3/4)x + 1.
Espero haberte ayudado.
Por favor, ayuda con este ejercicio de circunferencia en el plano cartesiano:
El centro de una circunferencia que pasa por (1,-2) y (-2,2) está situado sobre la recta de la ecuación 8x -4y +9 = 0 ¿Cuál es la ecuación?

Puedes designar a las coordenadas del centro de la circunferencia: C(h,k),
y como tienes que pertenece a la recta, reemplazas sus coordenadas en su ecuación y queda:
8h - 4k + 9 = 0 (1).
Luego, plantea la ecuación cartesiana canónica de la circunferencia (observa que designamos al radio con R):
(x - h)2 + (y - k)2 = R2,
luego, como tienes dos puntos que pertenecen a la circunferencia, reemplazas sus coordenadas en su ecuación y quedan dos ecuaciones:
(1 - h)2 + (- 2 - k)2 = R2 (2),
(- 2 - h)2 + (2 - k)2 = R2 (3),
luego, con las ecuaciones señaladas (1) (2) (3) tienes el sistema de tres ecuaciones con tres incógnitas:
8h - 4k + 9 = 0
(1 - h)2 + (- 2 - k)2 = R2
(- 2 - h)2 + (2 - k)2 = R2,
igualas los primeros miembros de las dos últimas ecuaciones y queda;
8h - 4k + 9 = 0
(1 - h)2 + (- 2 - k)2 = (- 2 - h)2 + (2 - k)2,
desarrollas los binomios elevados al cuadrado en la segunda ecuación y el sistema queda:
8h - 4k + 9 = 0
1 - 2h + h2 + 4 + 4k + k2 = 4 + 4h + h2 + 4 - 4k + k2,
haces pasajes de términos en la segunda ecuación, reduces términos semejantes (observa que tienes cancelaciones), y el sistema queda:
8h - 4k + 9 = 0
- 6h + 8k - 3 = 0, aquí haces pasajes de términos y queda: 8k = 6h + 3, divides por 8 en todos los términos y queda: k = (3/4)h + 3/8 (4),
luego sustituyes la expresión señalada (4) en la primera ecuación y queda:
8h - 4( (3/4)h + 3/8 ) + 9 = 0, distribuyes el segundo término y queda:
8h - 3h - 3/2 + 9 = 0, reduces términos semejantes, haces pasaje de término y queda:
5h = - 15/2, haces pasaje de factor como divisor y queda:
h = - 3/2,
luego reemplazas en la ecuación señalada (4) y queda:
k = (3/4)(- 3/2) + 3/8, resuelves el primer término, reduces términos semejantes y queda:
k = - 3/4,
luego, tienes que el centro de la circunferencia tiene coordenadas: C( -3/2 , -3/4 ):
luego reemplazas valores en las ecuaciones señaladas (2) (3) y quedan:
(1 - (-3/2))2 + (- 2 - (-3/4))2 = R2
(- 2 - (-3/2))2 + (2 - (-3/4))2 = R2,
resuelves términos numéricos y quedan:
25/4 + 25/16 = R2
1/4 + 121/16 = R2,
resuelves los primeros miembros, y ambas ecuaciones quedan:
125/16 = R2,
haces pasaje de potencia como raíz y queda:
√(125/16) = R.
Luego, reemplazas valores en la ecuación canónica de la circunferencia, y queda:
( x - (-3/2) )2 + ( y- (-3/4) )2 = ( √(125/16) )2,
resuelves signos en los argumentos de los binomios, simplificas índice y exponente en el segundo miembro y queda:
(x + 3/2)2 + (y + 3/4)2 = 125/16.
Espero haberte ayudado.
sea f(x)= √ΙxΙ, x<-1 y ax+b, x≥-1 calcule a y b de modo que sea derivable en x=-1
¿como puedo sacar la derivada de √ΙxΙ ?

1)
La función debe ser continua en x = -1:
a) f(-1) = a(-1) + b = - a + b (a determinar);
b) Límites laterales:
Lím(x→-1-) f(x) = Lím(x→-1-) √(|x|) = Lím(x→-1-) |-1| = 1,
Lím(x→-1+) f(x) = Lím(x→-1+) (ax + b) = a(-1) + b = - a + b,
luego, como los límites laterales deben ser iguales queda la ecuación:
- a + b = 1 (1),
por lo que tienes:
f(- 1) = 1.
2)
Plantea las derivadas laterales de la función evaluadas para x = - 1:
f-' (-1) = Lim(h→0-) ( f(-1+h) - f(-1) )/h = Lim(h→0-) ( √(|-1+h|) - 1 )/h =
= Lim(h→0-) ( √(|-1+h|) - 1 )/h,
y observa que el argumento del límite es negativo, por lo que aplicas la definición de valor absoluto y queda:
= Lim(h→0-) (√(- (- 1 + h) ) - 1)/h = Lim(h→0-) (√(1 - h) - 1)/h =
racionalizas el numerador y queda:
= Lim(h→0-) (√(1 - h) - 1)(√(1 - h) + 1) / h(√(1 - h) + 1) =
= Lim(h→0-) ( (1 - h) - 1 ) / h(√(1 - h) + 1) =
= Lim(h→0-) (1 - h - 1) / h(√(1 - h) + 1) = Lim(h→0-) (- h) / h(√(1 - h) + 1) =
Lim(h→0-) (- 1) / (√(1 - h) + 1) = - 1/2;
f+' (-1) = Lim(h→0+) ( f(-1+h) - f(-1) )/h =
= Lim(h→0+) ( (a(-1+h) + b) - 1 )/h =
= Lim(h→0+) (- a + ah + b - 1)/h =
aplicas la igualdad señalada (1) para el primer y el tercer término del numerador y queda:
= Lim(h→0+) (1 + ah - 1)/h = Lim(h→0+) (ah)/h = a;
luego, como las derivadas laterales deben ser iguales queda:
a = - 1/2,
luego reemplazas en la ecuación señalada (1) y queda:
- (- 1/2) + b = 1, resuelves signos en el primer término y queda:
1/2 + b = 1, haces pasaje de término y queda:
b = 1/2.
Luego, observa que la expresión de la función queda:
f(x) =
√(- x) si x < - 1 ( recuerda que x es negativo, por lo tanto tienes: √(|x|) = √(-x) )
(-1/2)x + 1/2 si x ≥ - 1.
Luego, observa que la expresión de la función derivada queda:
f ' (x) =
- 1/( 2√(- x) ) si x < - 1
- 1/2 si x = - 1
- 1/2 si x > - 1.
Espero haberte ayudado.