hola amigos como estamos...
me podrían ayudar con esta división de polinomios:
y esto es lo que hice pero no se si esta bien:
desde ya muchas gracias y saludos.

Observa que tienes una división entre expresiones algebraicas fraccionarias,
y que llamamos A a la numeradora y B a la denominadora, a las que tratamos por separado:
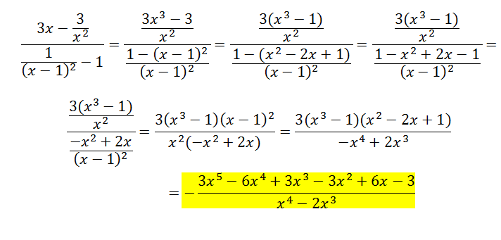
A = 3x - 3/x2 = (3x3 - 3)/x2 = extraes factor común en el numerador y queda:
= 3(x3 - 1)/x2 =
factorizas el binomio del numerador (observa que es una resta de cubos perfectos) y queda:
= 3(x-1)(x2+x+1)/x2.
B = 1/(x-1)2 - 1 = extraes denominador común y queda:
= (1 - (x-1)2)/(x-1)2 =
desarrollas el binomio elevado al cuadrado en el segundo término del numerador y queda:
= ( 1 - (x2-2x+1) )/(x-1)2 =
distribuyes el signo entre todos los términos del agrupamiento en el numerador y queda:
= (1 - x2 + 2x - 1)/(x-1)2 = cancelas términos opuestos en el numerador y queda:
= (- x2 + 2x)/(x-1)2 = extraes factor común en el numerador y queda:
= x(-x+2)/(x-1)2.
Luego, sustituyes la expresión remarcada A en el numerador, y la expresión remarcada B en el denominador, y queda:
3(x-1)(x2+x+1)/x2 / x(-x+2)/(x-1)2 = expresas la división como un producto y queda:
= 3(x-1)(x2+x+1)/x2 * (x-1)2/[x(-x+2)] = resuelves el producto y queda
= 3(x-1)(x2+x+1)(x-1)2 / x2*x*(-x+2) =
resuelves productos de potencias con bases iguales en el numerador y en el denominador y queda:
= 3(x-1)3(x2+x+1) / x3(-x+2).
Espero haberte ayudado.
Hola Unicoos,
Qué diferencia hay entre (-√5)3 y (√-5)3 esque siempre me confundo.
Muchas gracias.
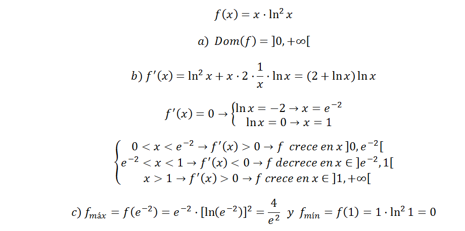
1.- El apartado a.1) me da: Dom(f(x))=R-{0} , esta bien?
2.- En el apartado a.2) como hallo los valores de x si la derivada me da: ln(x)*(ln(x)+2) y no puedo igualarla a cero, al menos no se como se hace. Me ayudais? gracias.
a.
Ten en cuenta que el ln de un número negativo o cero no existe, por lo que la x no puede valer ni cero ni un valor negativo
Por lo que Dom(f(x))= (0, +infinito)
b.
ln(x)*(ln(x)+2) = 0
Tenemos que ver que valores de x hacen que alguno/s de los factores sea cero
Factor 1
ln(x)=0 --> x=e0 ----> x1=1
Factor 2
(ln(x)+2) = 0 --> ln(x)= -2 --> x=e-2 -----> x2= 1/e2
Ya puedes estudiar los valores de decrecimiento/crecimiento en (-inf,1/e2) , (1/e2, 1) y (1,inf)