Foro de preguntas y respuestas de Matemáticas

logo beUnicoos
Los foros de unicoos se han unificado en nuestra nueva plataforma beUnicoos. Para dejar nuevas preguntas deberás hacerlo allí, donde además podrás encontrar nuevas asignaturas y herramientas para ayudarte más con tus estudios.

  • icon

    :)
    el 10/8/17

    Me ayudan con estos ejercicios gracias 

    replythumb_up0 voto/sflag
    icon

    Ángel
    el 10/8/17

    Intenta hacer las otras y si tienes alguna duda nos cuentas.

    thumb_up0 voto/sflag
    icon

    Ángel
    el 10/8/17

    Del ejercicio 2. los 5 primeros apartados se hacen igual.


    Te va el 2.a)


    Punto de corte eje x

    0=2x+4

    2x= -4

    x= -2

    (-2,0)


    Punto de corte eje y

    y= 2*0+4

    y=4

    (0,4)


    Signo en (-inf, -2)  ------>  y(-3)=2*(-3) +4 = -2<0 NEGATIVO

    Signo en (-2,INF)  ------>  y(-1)=2*(-1) +4 = 2>0 POSITIVO


    thumb_up1 voto/sflag
    icon

    :)
    el 10/8/17

    GRACIAS MATHS ME SALIERON TODOS BN SEGUN L< PROFE GRACIAS X TU AYUDA LA UNI CA NO SALIO ES DE LA 2 B Y D PQ NO LA ENTIENDO GRACIAS

    thumb_up0 voto/sflag
    icon

    Ángel
    el 10/8/17

    2. (d)

    Punto de corte eje x

    0=x

    x=0

    (0,0)  -----> Origen


    Punto de corte eje y

    y=0

    (0,0) -------> Origen


    Signo en (-inf, 0)  ------>  y(-1)= -1<0 NEGATIVO

    Signo en (0,inf)  ------>  y(1)=1 = 1>0 POSITIVO


    thumb_up0 voto/sflag
    icon

    Ángel
    el 10/8/17

    2. (b)

    y=x/2 -5


    Punto de corte eje x

    0= x/2 -5

    x/2 = 5

    x=5*2

    x=10

    (10,0)  


    Punto de corte eje y

    y=0/2 - 5

    y= -5

    (0,-5) 


    Signo en (-inf, 10)  ------>  y(0)= -5<0 NEGATIVO

    Signo en (10,inf)  ------>     y(20)= 5>0 POSITIVO



    thumb_up0 voto/sflag
    icon

    :)
    el 14/8/17

    muchas gracias maths

    thumb_up0 voto/sflag
  • icon

    Aldair Sanchez
    el 10/8/17
    flag


    replythumb_up0 voto/sflag
    icon

    Antonius Benedictus
    el 10/8/17

    Pon foto del enunciado original, Aldair. me temo que algo mal transcrito.

    thumb_up0 voto/sflag
  • icon

    Cristina Cris Silka
    el 10/8/17

    Hola, tengo una duda sobre un ejercicio de ecuaciones de primer grado:   x/2 +10=9

    1) x/2 +10 =9         x + 20 = 18          x=18-20      x=-2

    2) x/2 +10=9          x/2= 9-10             x/2= -1        x= -1 . 2       x= -2

    ¿Cuál de las do ecuaciones esta bien despejada? ¿o las dos maneras son  válidas para resolver?

        


    replythumb_up0 voto/sflag
    icon

    Guillem De La Calle Vicente
    el 10/8/17

    Las dos maneras son válidas.

    thumb_up1 voto/sflag
    icon

    Cristina Cris Silka
    el 10/8/17

    Ok, muchas gracias

    thumb_up0 voto/sflag
  • icon

    Cristina Cris Silka
    el 10/8/17

    Hola, tengo una duda sobre un ejercicio de ecuaciones de primer grado:   x/2 +10=9

    1) x/2 +10 =9         x + 20 = 18          x=18-20      x=-2

    2) x/2 +10=9          x/2= 9-10             x/2= -1        x= -1 . 2       x= -2

    ¿Cuál de las do ecuaciones esta bien despejada? ¿o las dos maneras son  válidas para resolver?

        


    replythumb_up0 voto/sflag
    icon

    Ángel
    el 10/8/17

    Las dos resoluciones son válidas.

    thumb_up1 voto/sflag
    icon

    Cristina Cris Silka
    el 10/8/17

    Aha, muchas gracias!


    thumb_up0 voto/sflag
  • icon

    lbp_14
    el 9/8/17

    Hola Unicoos,

    Me podrían ayudar a como plantear este problema.

    Muchísimas gracias

    replythumb_up0 voto/sflag
    icon

    Guillem De La Calle Vicente
    el 10/8/17


    thumb_up1 voto/sflag
  • icon

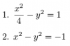
    Guillem De La Calle Vicente
    el 9/8/17

    Identifique y dibuje las curvas representadas por las ecuaciones dadas.


    replythumb_up0 voto/sflag
    icon

    Ángel
    el 10/8/17

    Hipérbolas:

    1.  [(x-0)^2]/22 - [(y-0)^2]/12 =1   ; con (h,k)=(0,0) ,   a=2  y b=1


    2.

    [(x-0)^2]/12 - [(y-0)^2]/12 = -1

    [(y-0)^2]/12 - [(x-0)^2]/12 = 1  ;  ; con (h,k)=(0,0) ,   a=1  y b=1


    thumb_up0 voto/sflag
  • icon

    Jaquelin
    el 9/8/17

    Hola buenas tardes. Tengo la duda de como escribir por extensión el siguiente conjunto:

    B= {X/X ε N ∧ X=4 ∧ X≤10}


    Muchas gracias!

    replythumb_up0 voto/sflag
    icon

    Antonius Benedictus
    el 9/8/17

    Se trata de un conjunto elemental:


    thumb_up0 voto/sflag
  • icon

    Ignacio
    el 9/8/17

    Tengo bien este?

    replythumb_up0 voto/sflag
    icon

    César
    el 9/8/17

    Verifica el plano que has calculado  a mi me sale x+2y-z+8=0

    El punto M=(7,-2,-3)  que es el punto medio entre P=(2,3,0) y P´

    M=(P+P´)/2

    7=(2+P´)/2->   x=12

    -2=(3+P´)/2->   y=-7

    -3=(0+P´)/2->   z=-6



    thumb_up0 voto/sflag
  • icon

    Aldo
    el 9/8/17

    Urgente!

    Hola, podrian ayudarme con este ejercicio 

    replythumb_up0 voto/sflag
    icon

    Antonius Benedictus
    el 9/8/17


    thumb_up0 voto/sflag
  • icon

    Alejandro Álvarez
    el 9/8/17

    Buenas tardes, 

    Necesitaría ayuda con este ejercicio de programación lineal ya que a la hora de representarlo todo se ha complicado y me temo que no voy por el buen camino.

    Gracias y un saludo.



    replythumb_up0 voto/sflag
    icon

    Guillem De La Calle Vicente
    el 9/8/17

    Veo un buen enfoque a priori, pero debo mirarlo mejor. Revise solamente las operaciones y las desigualdades.

    thumb_up0 voto/sflag
    icon

    Guillem De La Calle Vicente
    el 9/8/17

    Lo he revisado ahora mismo que he tenido tiempo suficiente. Esta bien!!

    thumb_up0 voto/sflag
    icon

    Alejandro Álvarez
    el 10/8/17

    Gracias Guillen creo que mi fallo fue al plantear las inecuaciones, creo que están todas al contrario jeje.

    thumb_up0 voto/sflag