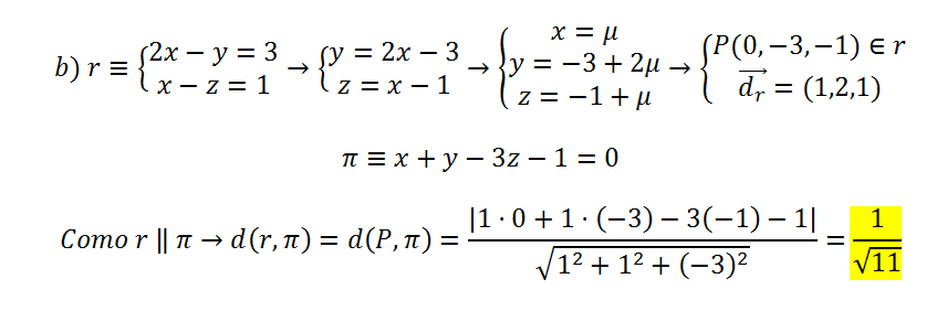
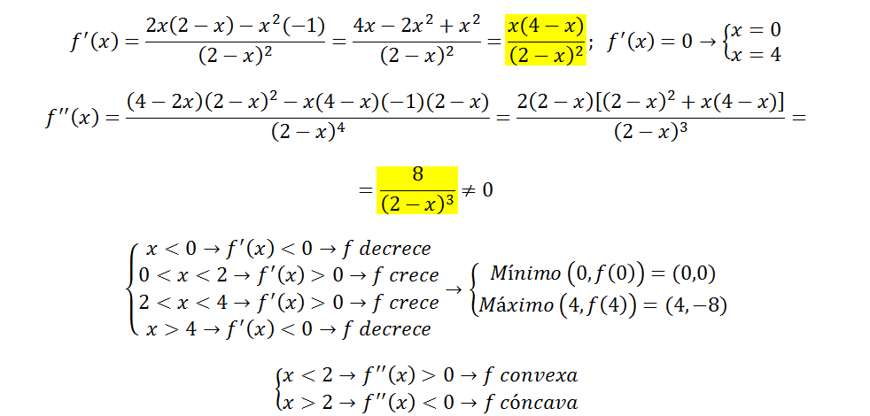
Buenos días.
Amigos mi duda es la siguiente:
Dado el límite:
He decidido reescribir el límite de la siguiente manera:
Lo hice así porque en el numerador tengo una sucesión de números naturales. Por lo tanto escribí el término general de la sucesión.
Sin embargo por el orden de infinitud este límite me da como resultado cero, ya que el grado del denominador es mayor que el grado del numerador.
No obstante al comparar la solución obtenida con la que tiene el libro me doy cuenta que la respuesta es 1/2.
Utilizando Wolfram Alpha me doy cuenta que la aplicación también reescribe el denominador como se muestra a continuación:
Mi inquietud es: ¿POR QUÉ EL DENOMINADOR PASA DE SER N ELEVADO AL CUADRADO A 2N?
Gracias.
3 amigos Juan, Rodolfo y Eulalia tienen 360€ entre ellos. Rodolfo tiene el doble de Juan y Eulalia el triple de Rodolfo. Calcula el dinero que tiene Eulalia
Hola, buenas tardes,
Estoy intentando entrar en la pestaña de material adicional y me indica que debo ser pro
En marzo del presente año me hice pro pagando la cantidad de 10 euros por lo que entendia que tenia a mi disposicion el material durante 6 meses.
El 26 de junio les escribi contandoles que no podia acceder a pesar de haber abonado la suscripcion para seis meses, ese mismo día me comentan que la queja se ha tramitado y esta en manos de un informatico y me dicen que paciencia.
A día de hoy sigo sin poder acceder y con la paciencia agotada.
Por favor solucionen el problema, de los seis mese pagados llevo tres sin tener acceso.
Un saludo
Ruego verifiquen mi inscripcion y subsanen el error o me informen del motivo por el que no puedo acceder.
Gracias
Buenas tardes Begoña,
El día 19 de marzo de este año realizaste una suscripción por importe de 8€, lo que te daba derecho al acceso por 3 meses a las ventajas PRO (hasta el 19 de junio).
Te hemos enviado por correo electrónico más detalles sobre tu suscripción, pero como te comentamos, está caducada.
Un saludo

El colega Antonio Benito muestra una imagen, y observa que el vértice cuyas coordenadas son (-1,6) es el que se encuentra más a la izquierda entre los tres vértices.
Para visualizar mejor los tres vértices, puedes confeccionar un gráfico con hoja cuadriculada, y puedes tomar como escala para los dos ejes: 1 unidad ≡ 1 cuadrillo.
Espero haberte ayudado.