
¡Hola! Nos encantaría ayudarte, pero no solemos responder dudas universitarias que no tengan que ver específicamente con los vídeos que David ha grabado como excepción. O de otras asignaturas que no sean Matemáticas, Física y Química. Lo sentimos de corazón… Esperamos que lo entiendas.
Ojalá algún unicoo universitario se anime a ayudarte (de hecho, lo ideal es que todos los universitarios intentarais ayudaros los unos a los otros).
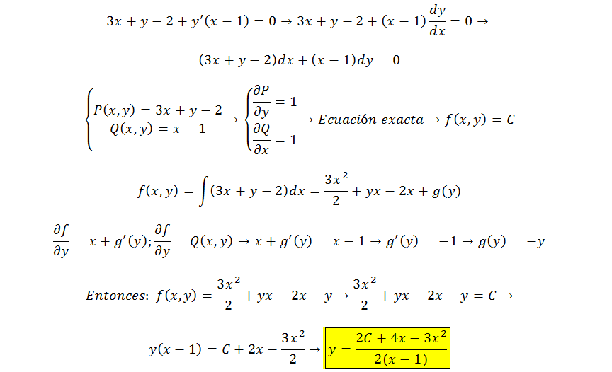
Hola unicoos,
Es el cálculo de un determinante, pero no sé si me he confundido al realizar ceros con Gauss y en el último paso, he querido hallar el determinante de una forma más fácil que es haciendo adjuntos por la primera columna ya que tengo ceros en esa parte, pero no sé cómo se desarrollaría, multiplico el número que está fuera del determinante por el resultado del determinante y lo opero con el +1 que hay después?. Si me lo pudiesen revisar y aclararme la duda de la resolución del último paso se lo agradecería mucho.
Muchisimas gracias.
Buenas tardes! Tengo una duda sobre la definición por épsilon-delta de límite. Por ejemplo, si me dicen que el límite cuando x tiende a 2 de f(x)=2x+3 es igual a 7, aplicando todos los procedimientos consigo la relación entre delta y épsilon, en este caso ε/2=δ. No tengo problema en la resolución, es bastante obvia, sin embargo, ¿exactamente qué dato me aporta saber que ε/2=δ? Esto es lo que no entiendo de la definición. Qué diferencia hay en saber que ε/2=δ o que ε=δ o que 5ε=δ. No veo exactamente qué tiene eso que ver con que el límite de mi función sea 7. ¿Para qué me sirve saberlo? Si alguien puede resolverme la duda sería genial. Muchísimas gracias.
Hola Unicos !
Estoy atascada con unos ejercicios de geometria lineal . En la teoria no encuentro respuesta y en you tube e internet no acabo de encontrar lo que me piden .
Se trata de estudio de cónicas y clasificación de cuádricas.
Uno de los ejercicios es :
Estudiad la cónica C de ecuación 29x^2 +24xy+36y^2−180 = 0. Encontrad una isometría que deje la cónica C en forma normal.
Un saludo , y gracias

¡Hola! Nos encantaría ayudarte, pero no solemos responder dudas universitarias que no tengan que ver específicamente con los vídeos que David ha grabado como excepción. O de otras asignaturas que no sean Matemáticas, Física y Química. Lo sentimos de corazón… Esperamos que lo entiendas.
Ojalá algún unicoo universitario se anime a ayudarte (de hecho, lo ideal es que todos los universitarios intentarais ayudaros los unos a los otros).
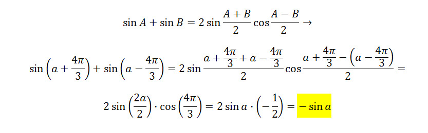
Hola UNICOOS!
No me sale un ejercicio de trigonometría, de las fórmulas de adición.
El ejercicio es el siguiente:
Simplifica las expresiones siguientes:
sen (a + (4π/3)) + sen (a - (4π/3))
Sol. -sen a
He utilizado la fórmula de transformación de sumas a productos y me sale 2 · sen a · cos (4π/3)
¿Alguna ayuda?
Gracias.